PLATE: 5280 MJD: 55849 FIELD: M15

FrameCartsec zseeingNreadsDitherPixshiftZerosky continuumS/NS/N(c)
2870027 3 1.07 1.25 47 0.00 0.00 18.98 [14.39,14.30,12.55] [ 14.4, 24.8, 22.7] [ 12.7, 22.0, 23.4]
2870028 3 1.07 1.19 47 0.34 0.00 19.04 [14.66,14.45,14.56] [ 15.2, 24.7, 27.7] [ 13.3, 22.8, 26.0]
2870029 3 1.07 1.52 47 0.33 0.00 19.02 [14.79,14.48,14.43] [ 15.1, 24.3, 27.1] [ 12.9, 22.4, 25.6]
2870030 3 1.07 1.55 47 -0.02 0.00 18.96 [14.52,14.55,14.64] [ 14.3, 23.5, 26.4] [ 12.6, 21.5, 24.7]
2870031 3 1.07 1.68 47 -0.02 -0.00 18.91 [14.53,14.56,14.63] [ 13.8, 22.8, 25.7] [ 12.0, 20.9, 23.9]
2870032 3 1.08 1.40 47 0.35 0.00 18.86 [14.68,14.62,14.65] [ 13.6, 22.0, 25.2] [ 11.7, 20.2, 23.8]
2870033 3 1.08 1.67 47 0.34 0.00 18.81 [14.88,14.66,14.66] [ 13.2, 21.3, 24.4] [ 11.4, 19.6, 23.0]
2870034 3 1.09 1.66 47 -0.01 -0.00 18.97 [14.45,14.71,14.56] [ 14.1, 22.9, 26.1] [ 12.3, 20.9, 24.5]

IPAIRNAMESHIFTNEWSHIFTS/N NAMESHIFTNEWSHIFTS/N
0 02870032 0.347 0.000 272.48 02870030 -0.016 0.363 282.80
1 02870028 0.337 0.010 291.71 02870034 -0.014 0.361 288.92
2 02870029 0.327 0.020 289.34 02870027 0.000 0.347 283.64
3 02870033 0.345 0.003 267.09 02870031 -0.015 0.362 279.24

Visit (multiple exposure and dither combined) spectra

FrameZeropointsMag plots Spatial mag deviation Spatial sky 16325A emission deviations (filled: sky, open: star) Spatial sky continuum emission Spatial sky telluric CO2 absorption deviations (filled: H < 10)
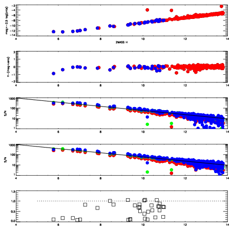
2870027
RedGreenBlue
z18.98
znorm14.80
sky 14.4 14.3 12.5
S/N 14.4 24.8 22.7
S/N(c) 12.7 22.0 23.4
SN(E/C) 0.67
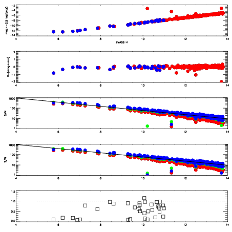
2870028
RedGreenBlue
z19.04
znorm14.86
sky 14.7 14.5 14.6
S/N 15.2 24.7 27.7
S/N(c) 13.3 22.8 26.0
SN(E/C) 0.55
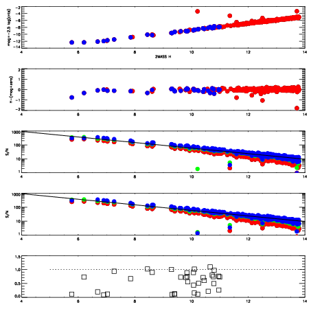
2870029
RedGreenBlue
z19.02
znorm14.84
sky 14.8 14.5 14.4
S/N 15.1 24.3 27.1
S/N(c) 12.9 22.4 25.6
SN(E/C) 0.61
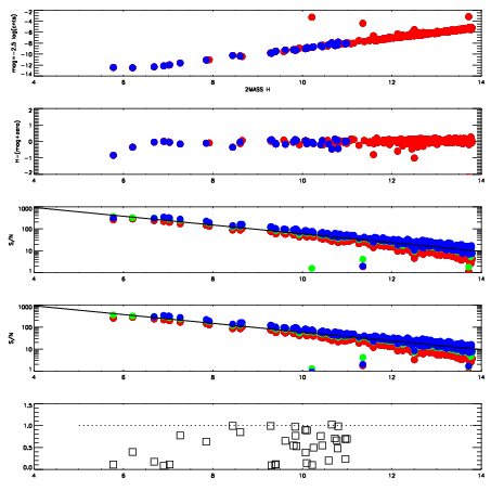
2870030
RedGreenBlue
z18.96
znorm14.78
sky 14.5 14.5 14.6
S/N 14.3 23.5 26.4
S/N(c) 12.6 21.5 24.7
SN(E/C) 0.61
2870031
RedGreenBlue
z18.91
znorm14.73
sky 14.5 14.6 14.6
S/N 13.8 22.8 25.7
S/N(c) 12.0 20.9 23.9
SN(E/C) 0.63
2870032
RedGreenBlue
z18.86
znorm14.68
sky 14.7 14.6 14.7
S/N 13.6 22.0 25.2
S/N(c) 11.7 20.2 23.8
SN(E/C) 0.71
2870033
RedGreenBlue
z18.81
znorm14.63
sky 14.9 14.7 14.7
S/N 13.2 21.3 24.4
S/N(c) 11.4 19.6 23.0
SN(E/C) 0.71
2870034
RedGreenBlue
z18.97
znorm14.78
sky 14.5 14.7 14.6
S/N 14.1 22.9 26.1
S/N(c) 12.3 20.9 24.5
SN(E/C) 0.55