PLATE: 5280 MJD: 56097 FIELD: M15

FrameCartsec zseeingNreadsDitherPixshiftZerosky continuumS/NS/N(c)
5350010 8 1.07 1.33 47 0.00 0.00 19.05 [14.29,14.55,14.61] [ 15.0, 25.3, 26.7] [ 13.8, 24.5, 25.8]
5350011 8 1.07 1.49 47 0.41 -0.00 19.10 [14.61,14.77,15.13] [ 15.4, 25.2, 27.5] [ 14.1, 24.1, 26.0]
5350012 8 1.07 1.30 47 0.41 -0.00 19.09 [14.50,14.90,15.21] [ 14.7, 25.2, 27.3] [ 13.7, 24.2, 26.2]
5350013 8 1.07 1.81 47 0.03 -0.00 19.00 [14.57,14.81,15.13] [ 14.3, 24.2, 26.2] [ 12.9, 23.2, 25.0]

IPAIRNAMESHIFTNEWSHIFTS/N NAMESHIFTNEWSHIFTS/N
0 05350011 0.410 0.000 201.07 05350013 0.027 0.383 235.31
1 05350012 0.406 0.004 247.80 05350010 0.000 0.410 239.81

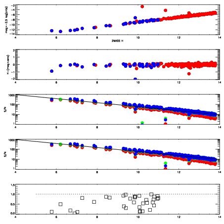
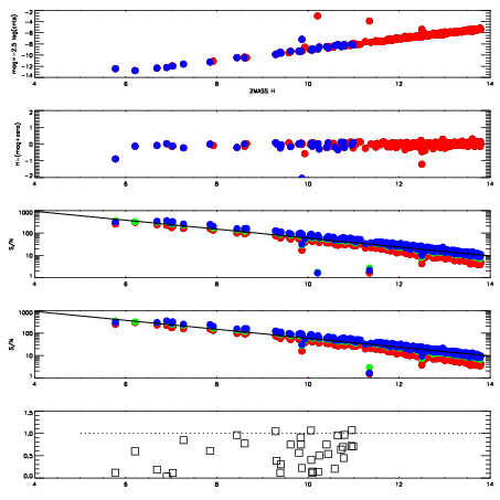
Visit (multiple exposure and dither combined) spectra

FrameZeropointsMag plots Spatial mag deviation Spatial sky 16325A emission deviations (filled: sky, open: star) Spatial sky continuum emission Spatial sky telluric CO2 absorption deviations (filled: H < 10)
5350010
RedGreenBlue
z19.05
znorm14.87
sky 14.3 14.5 14.6
S/N 15.0 25.3 26.7
S/N(c) 13.8 24.5 25.8
SN(E/C) 0.61
5350011
RedGreenBlue
z19.10
znorm14.92
sky 14.6 14.8 15.1
S/N 15.4 25.2 27.5
S/N(c) 14.1 24.1 26.0
SN(E/C) 0.64
5350012
RedGreenBlue
z19.09
znorm14.91
sky 14.5 14.9 15.2
S/N 14.7 25.2 27.3
S/N(c) 13.7 24.2 26.2
SN(E/C) 0.60
5350013
RedGreenBlue
z19.00
znorm14.82
sky 14.6 14.8 15.1
S/N 14.3 24.2 26.2
S/N(c) 12.9 23.2 25.0
SN(E/C) 0.67