PLATE: 5280 MJD: 56100 FIELD: M15

FrameCartsec zseeingNreadsDitherPixshiftZerosky continuumS/NS/N(c)
5380010 8 1.07 1.54 47 0.00 -0.00 18.56 [15.13,14.79,14.61] [ 10.9, 18.0, 18.4] [ 9.4, 16.5, 17.5]
5380011 8 1.07 1.58 47 0.55 -0.00 17.51 [14.65,14.79,15.21] [ 4.7, 9.7, 10.0] [ 4.1, 8.9, 9.0]
5380012 8 1.07 1.57 47 0.55 0.00 17.11 [14.81,14.87,15.31] [ 3.3, 7.2, 7.7] [ 3.0, 6.4, 6.9]
5380013 8 1.07 1.73 47 0.07 0.00 15.10 [15.03,14.89,15.63] [ 0.6, 1.6, 1.7] [ 0.6, 1.5, 1.6]

IPAIRNAMESHIFTNEWSHIFTS/N NAMESHIFTNEWSHIFTS/N
0 05380012 0.554 0.000 101.49 05380013 0.073 0.482 36.80
1 05380011 0.546 0.008 114.13 05380010 0.000 0.554 204.73

Visit (multiple exposure and dither combined) spectra

FrameZeropointsMag plots Spatial mag deviation Spatial sky 16325A emission deviations (filled: sky, open: star) Spatial sky continuum emission Spatial sky telluric CO2 absorption deviations (filled: H < 10)
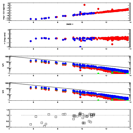
5380010
RedGreenBlue
z18.56
znorm14.38
sky 15.1 14.8 14.6
S/N 10.9 18.0 18.4
S/N(c) 9.4 16.5 17.5
SN(E/C) 0.70
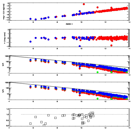
5380011
RedGreenBlue
z17.51
znorm13.33
sky 14.7 14.8 15.2
S/N 4.7 9.7 10.0
S/N(c) 4.1 8.9 9.0
SN(E/C) 0.87
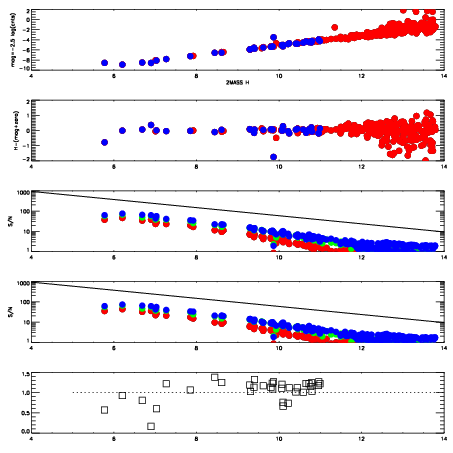
5380012
RedGreenBlue
z17.11
znorm12.93
sky 14.8 14.9 15.3
S/N 3.3 7.2 7.7
S/N(c) 3.0 6.4 6.9
SN(E/C) 0.94
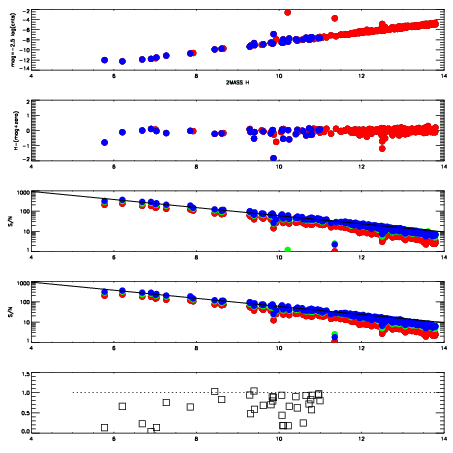
5380013
RedGreenBlue
z15.10
znorm10.92
sky 15.0 14.9 15.6
S/N 0.6 1.6 1.7
S/N(c) 0.6 1.5 1.6
SN(E/C) 1.13