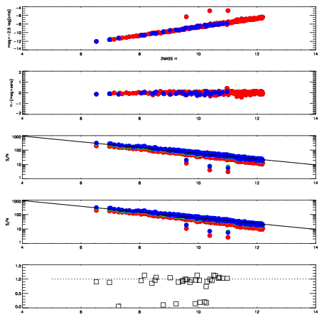
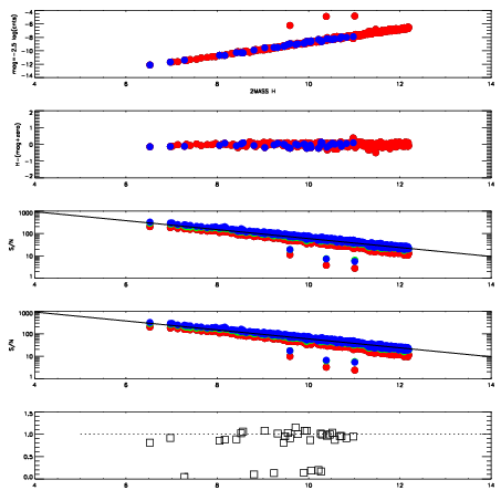
Left plots: red are targets, blue are telluric. Observed mags are calculated from median value of green chip. Zeropoint gives overall throughput: bigger number is more throughput.
First spatial plots: circles are objects, squares are tellurics, crosses are sky fibers. Colors give deviation of observed mag from expected 2MASS mag using the median zeropoint; red is brighter
Second spatial plots: circles are sky fibers. Colors give sky line brightness relative to plate median sky line brightness
FrameNreadsZeropointsMag plots Spatial mag deviation Spatial sky 16325A emission deviations (filled: sky, open: star) Spatial sky continuum emission Spatial sky telluric CO2 absorption deviations (filled: H < 10)
6230012 47
RedGreenBlue
z18.69
znorm14.51
sky 15.1 14.6 14.4
S/N 13.1 22.0 21.6
S/N(c) 11.7 20.3 20.5
SN(E/C) 0.95
6230013 47
RedGreenBlue
z18.78
znorm14.60
sky 15.1 14.8 15.1
S/N 13.7 22.7 23.3
S/N(c) 12.2 20.9 21.8
SN(E/C) 0.95