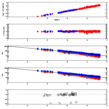
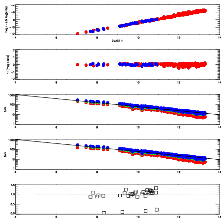
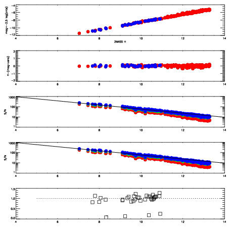
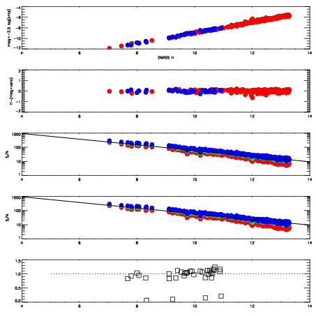
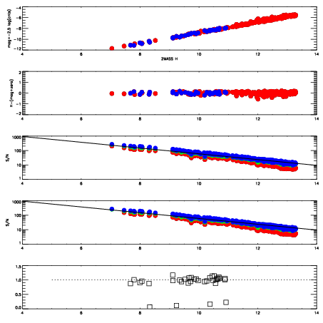
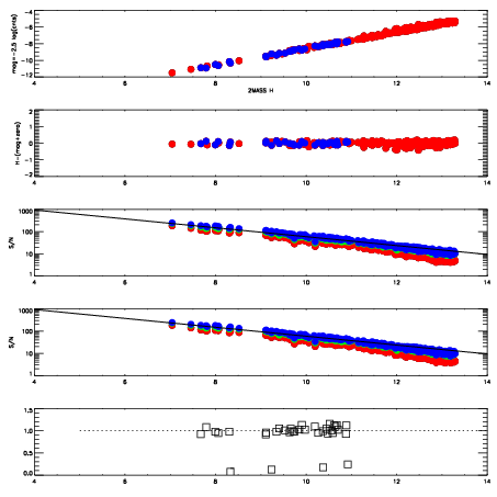
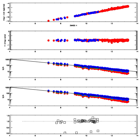
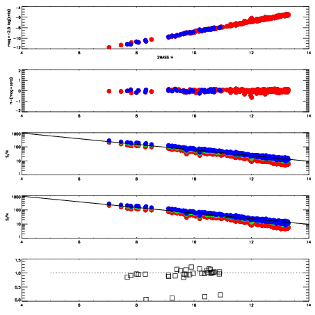
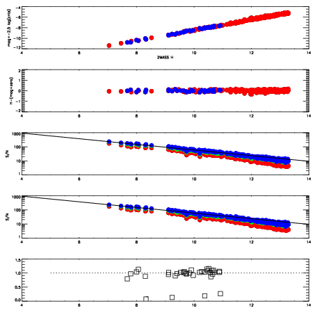
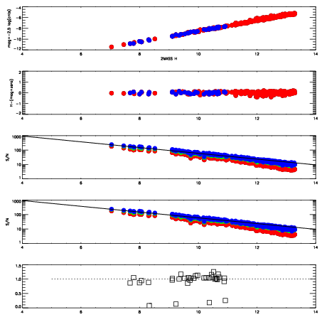
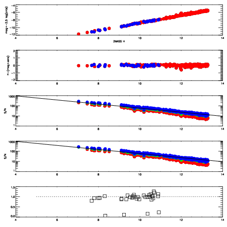
Frame | Nreads | Zeropoints | Mag plots
| Spatial mag deviation
| Spatial sky 16325A emission deviations (filled: sky, open: star)
| Spatial sky continuum emission
| Spatial sky telluric CO2 absorption deviations (filled: H < 10)
|
6100059
| 47
| | Red | Green | Blue
| z | | 18.89
| znorm | | 14.71
| sky | 14.8 | 14.6 | 14.9
| S/N | 14.6 | 23.4 | 24.6
| S/N(c) | 12.9 | 22.0 | 23.1
| SN(E/C) | 0.96
|
|
|
|
|
|
|
6100060
| 47
| | Red | Green | Blue
| z | | 18.95
| znorm | | 14.77
| sky | 14.7 | 14.6 | 15.1
| S/N | 15.3 | 24.6 | 26.3
| S/N(c) | 13.5 | 23.2 | 24.7
| SN(E/C) | 1.02
|
|
|
|
|
|
|
6100061
| 47
| | Red | Green | Blue
| z | | 18.82
| znorm | | 14.64
| sky | 14.9 | 14.7 | 15.4
| S/N | 14.1 | 23.2 | 24.5
| S/N(c) | 12.2 | 21.7 | 22.9
| SN(E/C) | 0.98
|
|
|
|
|
|
|
6100062
| 47
| | Red | Green | Blue
| z | | 18.79
| znorm | | 14.61
| sky | 15.0 | 14.7 | 15.3
| S/N | 13.9 | 22.7 | 23.8
| S/N(c) | 12.1 | 21.1 | 22.2
| SN(E/C) | 0.98
|
|
|
|
|
|
|
6100063
| 47
| | Red | Green | Blue
| z | | 18.47
| znorm | | 14.29
| sky | 14.7 | 14.8 | 15.6
| S/N | 10.8 | 19.0 | 19.8
| S/N(c) | 9.3 | 17.4 | 18.3
| SN(E/C) | 1.02
|
|
|
|
|
|
|
6100064
| 47
| | Red | Green | Blue
| z | | 18.70
| znorm | | 14.52
| sky | 14.6 | 14.7 | 15.4
| S/N | 12.8 | 22.0 | 22.9
| S/N(c) | 11.3 | 20.5 | 21.3
| SN(E/C) | 0.99
|
|
|
|
|
|
|
6100065
| 47
| | Red | Green | Blue
| z | | 18.80
| znorm | | 14.62
| sky | 14.8 | 14.8 | 15.5
| S/N | 13.7 | 23.3 | 24.2
| S/N(c) | 11.9 | 21.6 | 22.7
| SN(E/C) | 1.02
|
|
|
|
|
|
|
6100066
| 47
| | Red | Green | Blue
| z | | 18.79
| znorm | | 14.61
| sky | 14.9 | 14.9 | 15.3
| S/N | 14.0 | 23.3 | 24.3
| S/N(c) | 12.3 | 21.6 | 22.8
| SN(E/C) | 1.00
|
|
|
|
|
|
|
6100067
| 47
| | Red | Green | Blue
| z | | 18.88
| znorm | | 14.70
| sky | 14.9 | 14.7 | 15.2
| S/N | 14.8 | 24.5 | 25.0
| S/N(c) | 13.0 | 22.9 | 23.5
| SN(E/C) | 0.99
|
|
|
|
|
|
|
6100068
| 47
| | Red | Green | Blue
| z | | 18.59
| znorm | | 14.41
| sky | 14.5 | 14.9 | 15.5
| S/N | 12.0 | 20.7 | 21.1
| S/N(c) | 10.4 | 19.1 | 19.6
| SN(E/C) | 0.99
|
|
|
|
|
|
|
6100069
| 47
| | Red | Green | Blue
| z | | 18.52
| znorm | | 14.34
| sky | 14.7 | 14.9 | 15.5
| S/N | 11.3 | 19.9 | 20.2
| S/N(c) | 9.8 | 18.4 | 18.6
| SN(E/C) | 1.02
|
|
|
|
|
|
|
6100070
| 47
| | Red | Green | Blue
| z | | 18.50
| znorm | | 14.32
| sky | 14.7 | 14.8 | 15.5
| S/N | 11.0 | 19.3 | 19.8
| S/N(c) | 9.7 | 18.2 | 18.2
| SN(E/C) | 1.01
|
|
|
|
|
|
|