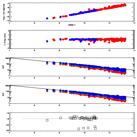
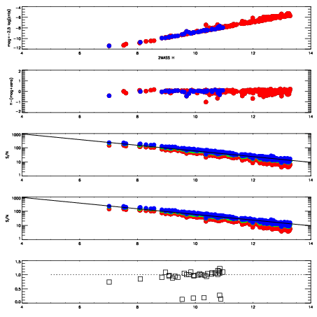
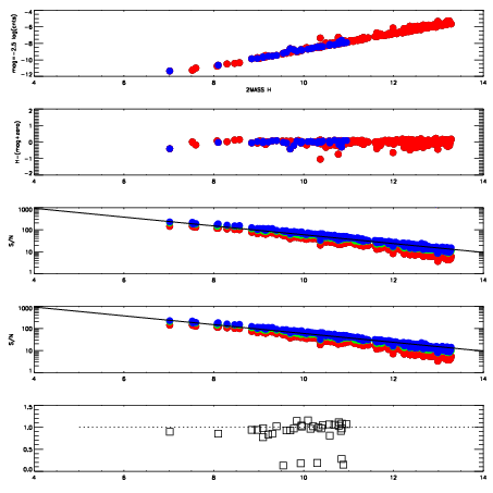
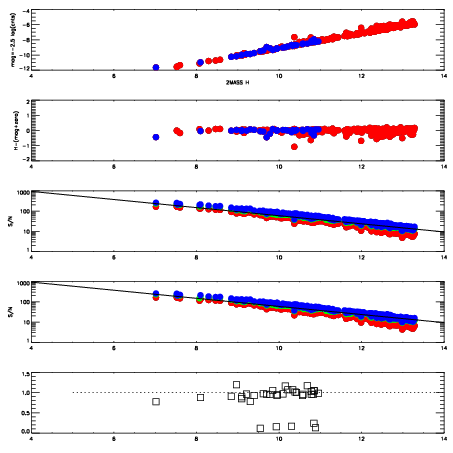
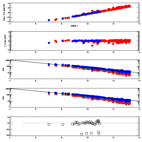
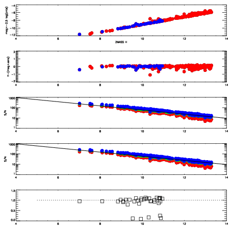
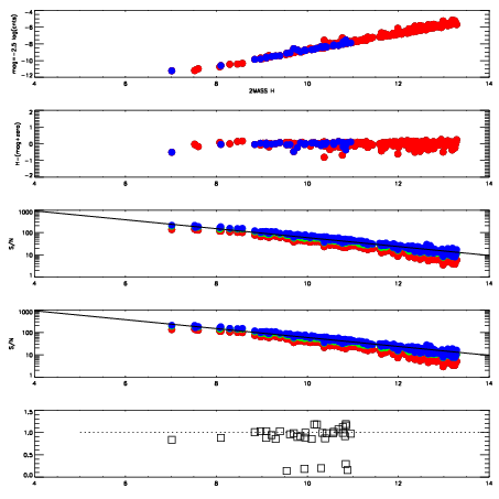
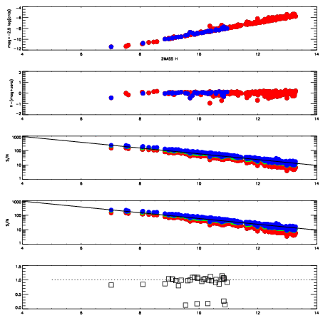
Frame | Nreads | Zeropoints | Mag plots
| Spatial mag deviation
| Spatial sky 16325A emission deviations (filled: sky, open: star)
| Spatial sky continuum emission
| Spatial sky telluric CO2 absorption deviations (filled: H < 10)
|
7890022
| 47
| | Red | Green | Blue
| z | | 18.74
| znorm | | 14.56
| sky | 15.6 | 14.6 | 14.7
| S/N | 13.8 | 23.0 | 24.4
| S/N(c) | 12.1 | 21.8 | 23.0
| SN(E/C) | 0.97
|
|
|
|
|
|
|
7890023
| 47
| | Red | Green | Blue
| z | | 18.86
| znorm | | 14.68
| sky | 15.4 | 14.6 | 15.2
| S/N | 15.3 | 25.3 | 27.3
| S/N(c) | 13.3 | 23.6 | 25.4
| SN(E/C) | 0.99
|
|
|
|
|
|
|
7890024
| 47
| | Red | Green | Blue
| z | | 18.81
| znorm | | 14.63
| sky | 15.1 | 14.7 | 15.2
| S/N | 14.4 | 24.3 | 26.3
| S/N(c) | 12.6 | 22.6 | 24.5
| SN(E/C) | 0.99
|
|
|
|
|
|
|
7890025
| 47
| | Red | Green | Blue
| z | | 18.62
| znorm | | 14.44
| sky | 15.1 | 14.7 | 15.2
| S/N | 12.6 | 22.0 | 23.6
| S/N(c) | 11.2 | 20.4 | 22.1
| SN(E/C) | 0.99
|
|
|
|
|
|
|
7890026
| 47
| | Red | Green | Blue
| z | | 18.19
| znorm | | 14.01
| sky | 14.7 | 14.7 | 15.0
| S/N | 9.1 | 17.1 | 17.8
| S/N(c) | 8.0 | 15.7 | 16.5
| SN(E/C) | 1.04
|
|
|
|
|
|
|
7890027
| 47
| | Red | Green | Blue
| z | | 18.77
| znorm | | 14.59
| sky | 15.0 | 14.8 | 15.1
| S/N | 13.8 | 23.8 | 25.8
| S/N(c) | 12.3 | 22.0 | 24.0
| SN(E/C) | 0.97
|
|
|
|
|
|
|
7890028
| 47
| | Red | Green | Blue
| z | | 19.05
| znorm | | 14.87
| sky | 15.1 | 15.0 | 15.7
| S/N | 16.9 | 27.6 | 30.2
| S/N(c) | 15.0 | 25.7 | 28.2
| SN(E/C) | 0.95
|
|
|
|
|
|
|
7890029
| 47
| | Red | Green | Blue
| z | | 19.09
| znorm | | 14.91
| sky | 15.2 | 15.4 | 15.5
| S/N | 16.8 | 27.8 | 30.1
| S/N(c) | 15.1 | 25.9 | 28.4
| SN(E/C) | 0.95
|
|
|
|
|
|
|