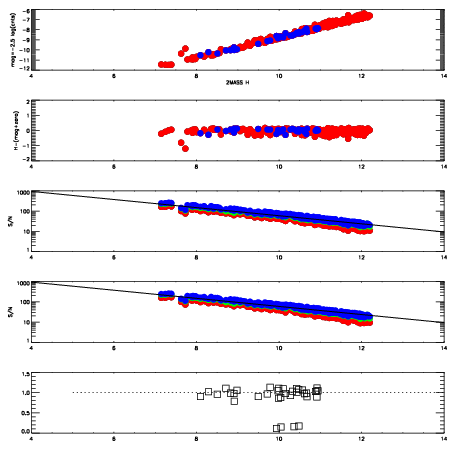
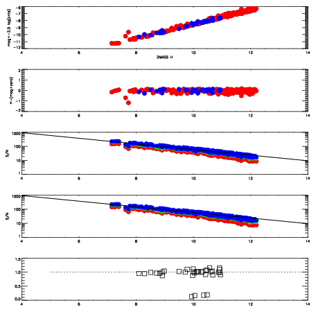
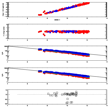
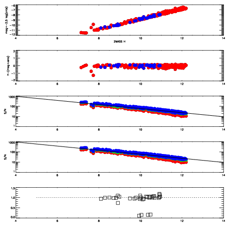
Frame | Nreads | Zeropoints | Mag plots
| Spatial mag deviation
| Spatial sky 16325A emission deviations (filled: sky, open: star)
| Spatial sky continuum emission
| Spatial sky telluric CO2 absorption deviations (filled: H < 10)
|
7850011
| 47
| | Red | Green | Blue
| z | | 18.40
| znorm | | 14.22
| sky | 14.4 | 14.1 | 13.9
| S/N | 9.9 | 16.8 | 17.0
| S/N(c) | 8.7 | 15.5 | 16.5
| SN(E/C) | 0.97
|
|
|
|
|
|
|
7850012
| 47
| | Red | Green | Blue
| z | | 18.51
| znorm | | 14.33
| sky | 14.4 | 14.3 | 14.2
| S/N | 10.4 | 17.6 | 18.4
| S/N(c) | 9.2 | 16.5 | 17.5
| SN(E/C) | 0.99
|
|
|
|
|
|
|
7850013
| 47
| | Red | Green | Blue
| z | | 18.48
| znorm | | 14.30
| sky | 14.5 | 14.3 | 14.2
| S/N | 10.3 | 17.7 | 18.3
| S/N(c) | 9.1 | 16.1 | 17.2
| SN(E/C) | 1.01
|
|
|
|
|
|
|
7850014
| 47
| | Red | Green | Blue
| z | | 18.54
| znorm | | 14.36
| sky | 14.7 | 14.3 | 14.4
| S/N | 10.6 | 18.1 | 19.0
| S/N(c) | 9.4 | 16.7 | 17.8
| SN(E/C) | 0.99
|
|
|
|
|
|
|
7850015
| 47
| | Red | Green | Blue
| z | | 18.82
| znorm | | 14.64
| sky | 14.3 | 14.2 | 14.1
| S/N | 13.0 | 20.9 | 22.2
| S/N(c) | 11.5 | 19.6 | 21.0
| SN(E/C) | 0.97
|
|
|
|
|
|
|
7850016
| 47
| | Red | Green | Blue
| z | | 18.90
| znorm | | 14.72
| sky | 14.3 | 14.1 | 14.1
| S/N | 13.7 | 22.0 | 23.1
| S/N(c) | 12.2 | 20.2 | 22.0
| SN(E/C) | 0.99
|
|
|
|
|
|
|
7850017
| 47
| | Red | Green | Blue
| z | | 18.79
| znorm | | 14.61
| sky | 14.6 | 14.3 | 14.3
| S/N | 12.7 | 20.6 | 21.9
| S/N(c) | 11.3 | 18.9 | 20.9
| SN(E/C) | 0.99
|
|
|
|
|
|
|
7850018
| 47
| | Red | Green | Blue
| z | | 18.85
| znorm | | 14.67
| sky | 14.6 | 14.3 | 14.2
| S/N | 13.1 | 21.1 | 22.5
| S/N(c) | 11.6 | 19.4 | 21.5
| SN(E/C) | 0.99
|
|
|
|
|
|
|