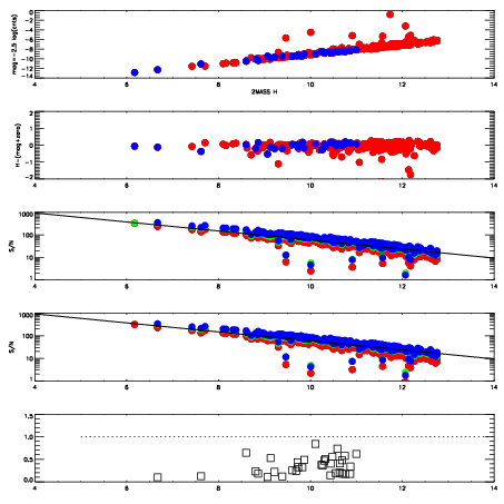
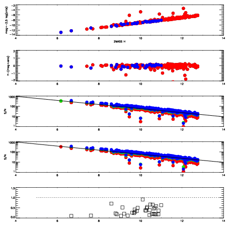
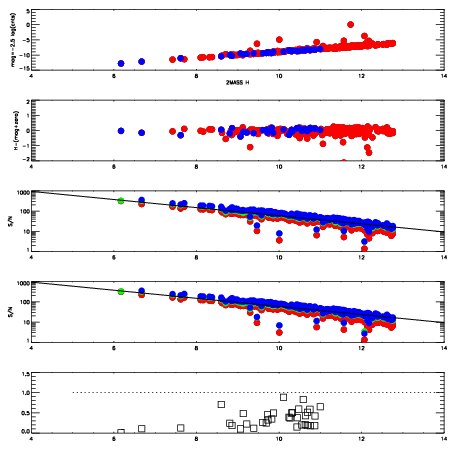
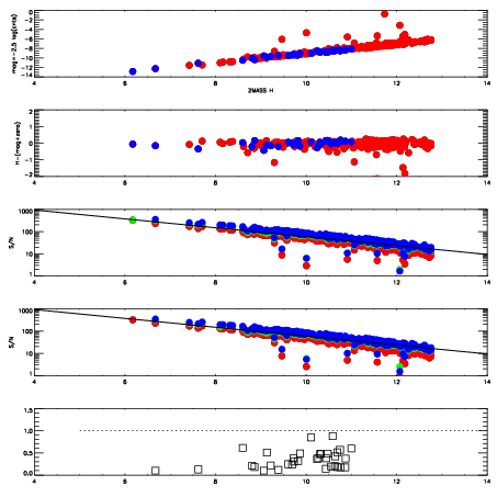
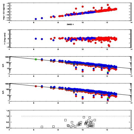
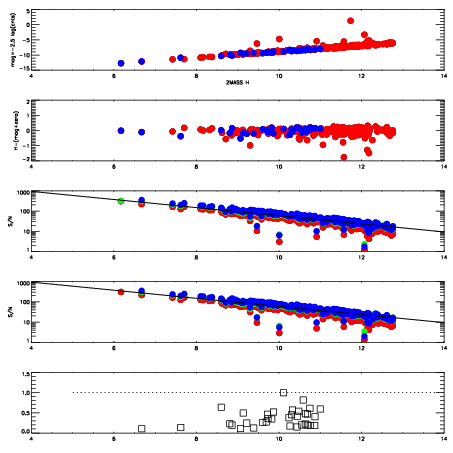
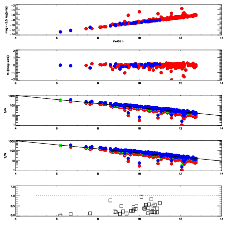
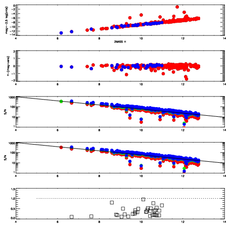
Frame | Nreads | Zeropoints | Mag plots
| Spatial mag deviation
| Spatial sky 16325A emission deviations (filled: sky, open: star)
| Spatial sky continuum emission
| Spatial sky telluric CO2 absorption deviations (filled: H < 10)
|
7920033
| 47
| | Red | Green | Blue
| z | | 18.89
| znorm | | 14.71
| sky | 14.6 | 14.6 | 14.4
| S/N | 14.2 | 23.2 | 23.0
| S/N(c) | 12.9 | 21.8 | 22.1
| SN(E/C) | 0.36
|
|
|
|
|
|
|
7920034
| 47
| | Red | Green | Blue
| z | | 18.95
| znorm | | 14.77
| sky | 14.8 | 14.8 | 15.1
| S/N | 14.3 | 23.8 | 23.9
| S/N(c) | 13.0 | 22.3 | 22.8
| SN(E/C) | 0.35
|
|
|
|
|
|
|
7920035
| 47
| | Red | Green | Blue
| z | | 19.01
| znorm | | 14.83
| sky | 15.1 | 14.7 | 15.0
| S/N | 14.9 | 24.3 | 24.7
| S/N(c) | 13.5 | 22.9 | 23.7
| SN(E/C) | 0.34
|
|
|
|
|
|
|
7920036
| 47
| | Red | Green | Blue
| z | | 19.06
| znorm | | 14.88
| sky | 15.0 | 15.1 | 14.9
| S/N | 15.1 | 24.6 | 25.5
| S/N(c) | 13.9 | 23.1 | 24.5
| SN(E/C) | 0.34
|
|
|
|
|
|
|
7920037
| 47
| | Red | Green | Blue
| z | | 19.05
| znorm | | 14.87
| sky | 14.9 | 15.0 | 15.2
| S/N | 14.9 | 24.3 | 25.8
| S/N(c) | 13.7 | 22.9 | 24.3
| SN(E/C) | 0.35
|
|
|
|
|
|
|
7920038
| 47
| | Red | Green | Blue
| z | | 19.05
| znorm | | 14.87
| sky | 15.0 | 15.0 | 15.1
| S/N | 14.8 | 24.5 | 25.6
| S/N(c) | 13.5 | 23.0 | 24.4
| SN(E/C) | 0.36
|
|
|
|
|
|
|
7920039
| 47
| | Red | Green | Blue
| z | | 19.04
| znorm | | 14.86
| sky | 15.2 | 14.9 | 15.2
| S/N | 14.6 | 23.9 | 25.7
| S/N(c) | 13.4 | 22.6 | 24.3
| SN(E/C) | 0.36
|
|
|
|
|
|
|
7920040
| 47
| | Red | Green | Blue
| z | | 18.98
| znorm | | 14.80
| sky | 15.2 | 15.1 | 15.3
| S/N | 14.0 | 23.3 | 25.3
| S/N(c) | 12.6 | 22.0 | 24.0
| SN(E/C) | 0.34
|
|
|
|
|
|
|