PLATE: 4814 MJD: 55722 FIELD: APGS_M3

FrameCartsec zseeingNreadsDitherPixshiftZerosky continuumS/NS/N(c)
1600067 1 1.01 0.00 50 0.00 -0.00 19.13 [13.88,13.59,13.57] [ 16.3, 24.2, 29.7] [ 14.5, 22.5, 29.3]
1600068 1 1.01 0.00 50 0.00 0.00 19.10 [14.09,13.93,13.97] [ 15.9, 23.7, 30.0] [ 14.1, 21.8, 29.0]
1600069 1 1.01 0.00 50 0.00 0.00 19.11 [14.05,13.98,14.07] [ 15.8, 24.2, 29.7] [ 13.7, 21.8, 28.8]
1600070 1 1.00 0.00 50 0.00 0.00 19.18 [14.19,14.18,14.09] [ 16.3, 24.7, 30.1] [ 14.3, 22.6, 29.1]
1600071 1 1.00 0.00 50 0.00 0.00 19.17 [14.13,14.06,14.14] [ 16.4, 25.0, 29.0] [ 14.5, 23.0, 28.3]
1600072 1 1.01 0.00 50 0.00 -0.00 19.18 [14.38,14.15,14.23] [ 16.4, 24.5, 28.9] [ 14.6, 22.7, 28.2]
1600073 1 1.01 0.00 50 0.00 -0.00 19.22 [14.27,14.16,14.31] [ 16.1, 24.9, 29.0] [ 14.3, 22.9, 28.2]
1600074 1 1.01 0.00 50 0.00 -0.00 19.22 [14.44,14.12,14.31] [ 16.3, 25.0, 28.9] [ 14.3, 23.1, 27.9]
1600075 1 1.02 0.00 50 0.00 0.00 19.20 [14.15,13.95,13.79] [ 16.5, 24.9, 27.8] [ 14.7, 23.0, 27.1]
1600076 1 1.03 0.00 50 0.00 -0.00 19.18 [14.22,14.06,14.25] [ 16.0, 24.6, 28.4] [ 14.2, 22.9, 27.4]
1600077 1 1.04 0.00 50 0.00 -0.00 19.21 [14.23,14.10,14.21] [ 16.5, 25.2, 29.1] [ 14.7, 23.5, 27.9]

01600067 0.00000 249.391
01600068 0.00000 250.765
01600069 0.00000 252.209
01600070 0.00000 255.634
01600071 0.00000 257.458
01600072 0.00000 256.159
01600073 0.00000 255.641
01600074 0.00000 255.145
01600075 0.00000 253.223
01600076 0.00000 251.377
01600077 0.00000 253.423

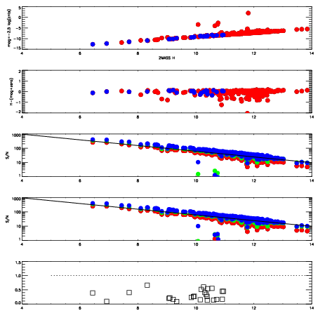
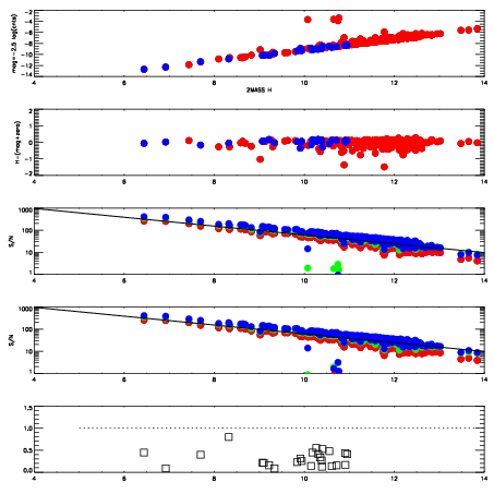
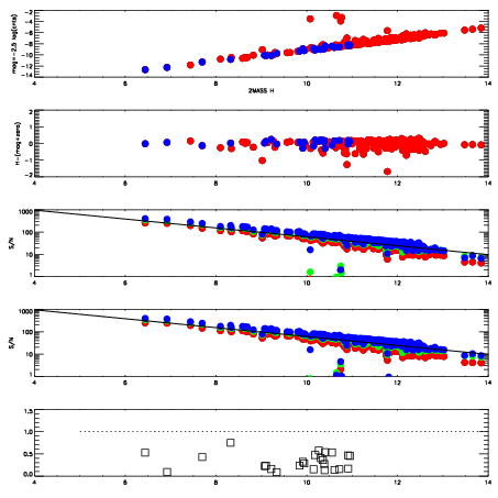
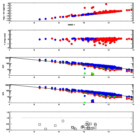
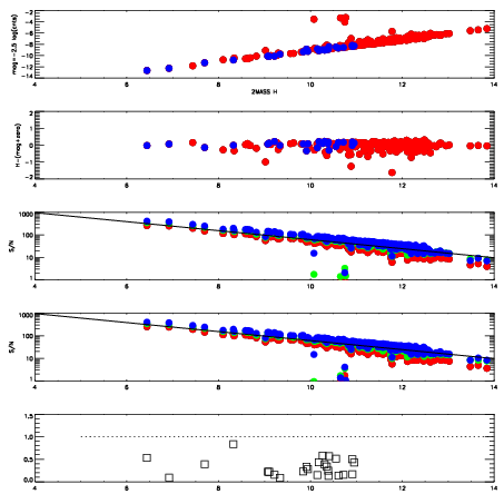
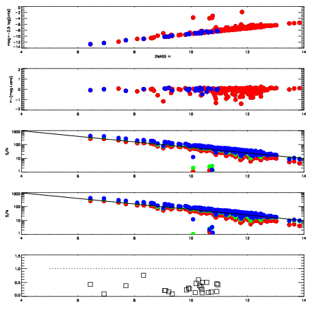
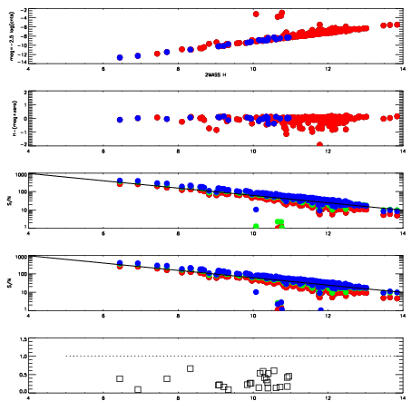
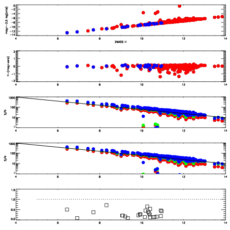
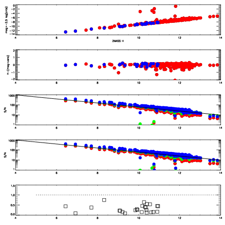
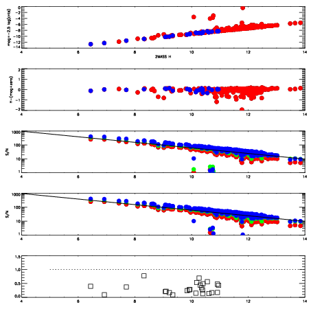
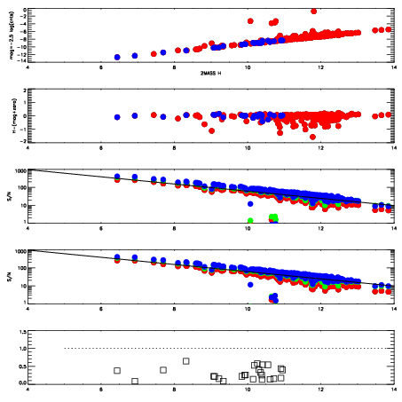
Visit (multiple exposure and dither combined) spectra

FrameZeropointsMag plots Spatial mag deviation Spatial sky 16325A emission deviations (filled: sky, open: star) Spatial sky continuum emission Spatial sky telluric CO2 absorption deviations (filled: H < 10)
1600067
RedGreenBlue
z19.13
znorm14.88
sky 13.9 13.6 13.6
S/N 16.3 24.2 29.7
S/N(c) 14.5 22.5 29.3
SN(E/C) 0.26
1600068
RedGreenBlue
z19.10
znorm14.85
sky 14.1 13.9 14.0
S/N 15.9 23.7 30.0
S/N(c) 14.1 21.8 29.0
SN(E/C) 0.28
1600069
RedGreenBlue
z19.11
znorm14.86
sky 14.0 14.0 14.1
S/N 15.8 24.2 29.7
S/N(c) 13.7 21.8 28.8
SN(E/C) 0.28
1600070
RedGreenBlue
z19.18
znorm14.93
sky 14.2 14.2 14.1
S/N 16.3 24.7 30.1
S/N(c) 14.3 22.6 29.1
SN(E/C) 0.27
1600071
RedGreenBlue
z19.17
znorm14.92
sky 14.1 14.1 14.1
S/N 16.4 25.0 29.0
S/N(c) 14.5 23.0 28.3
SN(E/C) 0.25
1600072
RedGreenBlue
z19.18
znorm14.94
sky 14.4 14.1 14.2
S/N 16.4 24.5 28.9
S/N(c) 14.6 22.7 28.2
SN(E/C) 0.25
1600073
RedGreenBlue
z19.22
znorm14.97
sky 14.3 14.2 14.3
S/N 16.1 24.9 29.0
S/N(c) 14.3 22.9 28.2
SN(E/C) 0.27
1600074
RedGreenBlue
z19.22
znorm14.97
sky 14.4 14.1 14.3
S/N 16.3 25.0 28.9
S/N(c) 14.3 23.1 27.9
SN(E/C) 0.25
1600075
RedGreenBlue
z19.20
znorm14.95
sky 14.2 13.9 13.8
S/N 16.5 24.9 27.8
S/N(c) 14.7 23.0 27.1
SN(E/C) 0.26
1600076
RedGreenBlue
z19.18
znorm14.93
sky 14.2 14.1 14.3
S/N 16.0 24.6 28.4
S/N(c) 14.2 22.9 27.4
SN(E/C) 0.27
1600077
RedGreenBlue
z19.21
znorm14.96
sky 14.2 14.1 14.2
S/N 16.5 25.2 29.1
S/N(c) 14.7 23.5 27.9
SN(E/C) 0.27