PLATE: 4815 MJD: 55728 FIELD: M5PAL5

FrameCartsec zseeingNreadsDitherPixshiftZerosky continuumS/NS/N(c)
1660019 9 1.18 1.21 50 0.00 0.00 19.10 [13.96,13.82,13.65] [ 15.9, 23.7, 27.7] [ 14.0, 22.3, 26.6]
1660020 9 1.18 1.13 50 0.00 -0.00 19.15 [14.00,13.87,13.90] [ 16.2, 24.7, 28.7] [ 14.4, 22.7, 27.2]
1660021 9 1.18 1.16 50 0.00 -0.00 19.16 [13.94,13.85,13.92] [ 16.3, 25.2, 28.7] [ 14.1, 22.9, 27.0]
1660022 9 1.18 1.12 50 0.00 0.00 19.13 [13.95,13.93,13.97] [ 15.9, 24.8, 28.3] [ 14.1, 22.6, 26.3]
1660023 9 1.18 1.13 50 0.00 0.00 19.12 [13.95,13.96,13.93] [ 15.7, 24.9, 28.1] [ 13.9, 22.4, 26.5]
1660024 9 1.18 1.19 50 0.00 -0.00 19.17 [13.97,13.99,13.98] [ 16.2, 25.5, 28.5] [ 14.3, 22.7, 27.3]

01660019 0.00000 299.466
01660020 0.00000 306.502
01660021 0.00000 308.139
01660022 0.00000 306.625
01660023 0.00000 302.157
01660024 0.00000 312.065

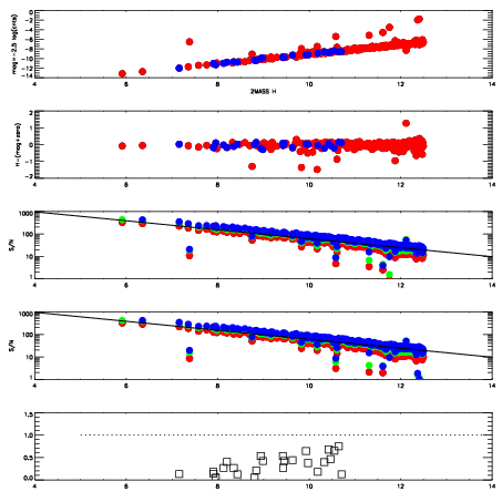
Visit (multiple exposure and dither combined) spectra

FrameZeropointsMag plots Spatial mag deviation Spatial sky 16325A emission deviations (filled: sky, open: star) Spatial sky continuum emission Spatial sky telluric CO2 absorption deviations (filled: H < 10)
1660019
RedGreenBlue
z19.10
znorm14.85
sky 14.0 13.8 13.6
S/N 15.9 23.7 27.7
S/N(c) 14.0 22.3 26.6
SN(E/C) 0.37
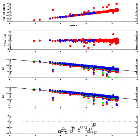
1660020
RedGreenBlue
z19.15
znorm14.90
sky 14.0 13.9 13.9
S/N 16.2 24.7 28.7
S/N(c) 14.4 22.7 27.2
SN(E/C) 0.36
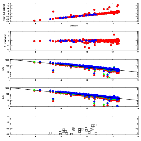
1660021
RedGreenBlue
z19.16
znorm14.91
sky 13.9 13.9 13.9
S/N 16.3 25.2 28.7
S/N(c) 14.1 22.9 27.0
SN(E/C) 0.35
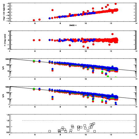
1660022
RedGreenBlue
z19.13
znorm14.88
sky 14.0 13.9 14.0
S/N 15.9 24.8 28.3
S/N(c) 14.1 22.6 26.3
SN(E/C) 0.37
1660023
RedGreenBlue
z19.12
znorm14.87
sky 14.0 14.0 13.9
S/N 15.7 24.9 28.1
S/N(c) 13.9 22.4 26.5
SN(E/C) 0.27
1660024
RedGreenBlue
z19.17
znorm14.92
sky 14.0 14.0 14.0
S/N 16.2 25.5 28.5
S/N(c) 14.3 22.7 27.3
SN(E/C) 0.35