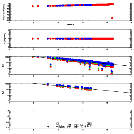
Left plots: red are targets, blue are telluric. Observed mags are calculated from median value of green chip. Zeropoint gives overall throughput: bigger number is more throughput.
First spatial plots: circles are objects, squares are tellurics, crosses are sky fibers. Colors give deviation of observed mag from expected 2MASS mag using the median zeropoint; red is brighter
Second spatial plots: circles are sky fibers. Colors give sky line brightness relative to plate median sky line brightness
FrameNreadsZeropointsMag plots Spatial mag deviation Spatial sky 16325A emission deviations (filled: sky, open: star) Spatial sky continuum emission Spatial sky telluric CO2 absorption deviations (filled: H < 10)
0 0
RedGreenBlue
z17.63
znorm Inf
sky -NaN -Inf -Inf
S/N 34.6 55.2 65.0
S/N(c) 0.0 0.0 0.0
SN(E/C) 0.17

01660019 0.00000 299.466
01660020 0.00000 306.502
01660021 0.00000 308.139
01660022 0.00000 306.625
01660023 0.00000 302.157
01660024 0.00000 312.065