PLATE: 4817 MJD: 55724 FIELD: APGS_M107

FrameCartsec zseeingNreadsDitherPixshiftZerosky continuumS/NS/N(c)
1620034 7 1.47 0.00 50 0.00 -0.00 18.94 [14.02,13.42,13.95] [ 16.6, 23.5, 30.7] [ 15.1, 23.0, 29.2]
1620035 7 1.46 0.00 50 0.00 -0.00 19.01 [14.09,13.52,13.87] [ 17.4, 24.8, 31.5] [ 15.9, 23.9, 30.1]
1620036 7 1.45 0.00 50 0.00 -0.00 19.03 [13.99,13.65,13.86] [ 17.7, 25.3, 31.3] [ 16.1, 24.3, 30.0]
1620037 7 1.44 0.00 50 0.00 0.00 19.01 [14.09,13.73,13.99] [ 17.6, 25.6, 30.8] [ 16.1, 24.5, 29.5]
1620038 7 1.44 0.00 50 0.00 0.00 19.10 [14.02,13.78,13.97] [ 18.4, 26.3, 31.5] [ 17.1, 25.5, 30.6]
1620039 7 1.43 0.00 50 0.00 0.00 19.10 [14.15,13.93,14.03] [ 18.9, 27.0, 31.7] [ 17.4, 25.9, 30.5]
1620040 7 1.44 0.00 50 0.00 -0.00 19.11 [14.13,13.95,14.13] [ 19.2, 27.2, 31.8] [ 17.6, 26.0, 30.6]
1620041 7 1.44 0.00 50 0.00 0.00 19.13 [14.24,14.02,14.10] [ 19.4, 27.7, 32.4] [ 17.7, 26.4, 31.2]
1620042 7 1.44 0.00 50 0.00 0.00 19.17 [14.21,14.11,14.09] [ 19.8, 28.0, 32.9] [ 18.2, 27.1, 31.7]
1620043 7 1.45 0.00 50 0.00 -0.00 19.18 [14.20,14.03,14.13] [ 20.0, 28.4, 33.1] [ 18.5, 27.5, 31.8]
1620044 7 1.46 0.00 50 0.00 0.00 19.19 [14.25,14.08,14.11] [ 20.1, 28.8, 33.1] [ 18.3, 27.4, 32.0]
1620045 7 1.48 0.00 50 0.00 -0.00 19.20 [14.19,14.17,14.14] [ 20.2, 28.9, 33.2] [ 18.4, 27.6, 32.3]

01620034 0.00000 264.464
01620035 0.00000 273.934
01620036 0.00000 276.159
01620037 0.00000 273.164
01620038 0.00000 281.849
01620039 0.00000 283.019
01620040 0.00000 280.926
01620041 0.00000 282.639
01620042 0.00000 287.559
01620043 0.00000 287.220
01620044 0.00000 291.551
01620045 0.00000 290.921

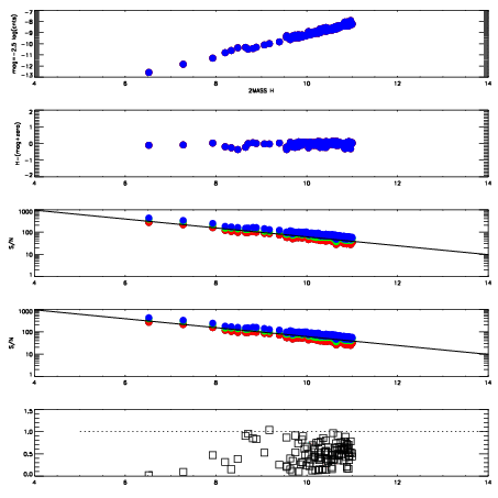
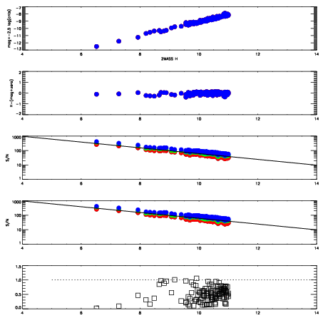
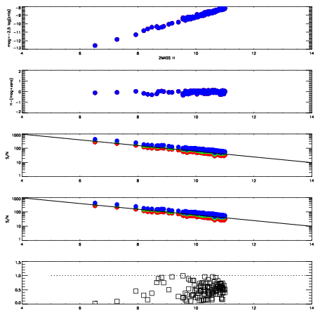
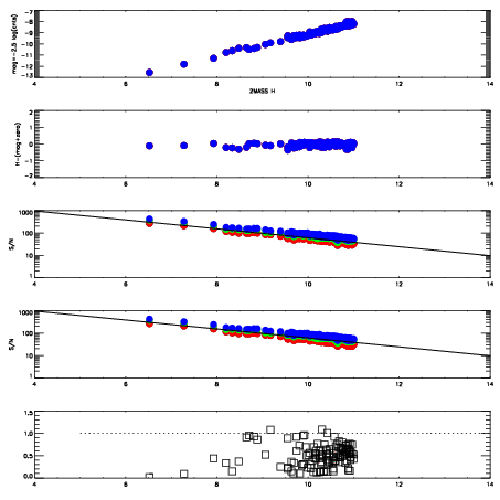
Visit (multiple exposure and dither combined) spectra

FrameZeropointsMag plots Spatial mag deviation Spatial sky 16325A emission deviations (filled: sky, open: star) Spatial sky continuum emission Spatial sky telluric CO2 absorption deviations (filled: H < 10)
1620034
RedGreenBlue
z18.94
znorm14.70
sky 14.0 13.4 13.9
S/N 16.6 23.5 30.7
S/N(c) 15.1 23.0 29.2
SN(E/C) 0.54
1620035
RedGreenBlue
z19.01
znorm14.76
sky 14.1 13.5 13.9
S/N 17.4 24.8 31.5
S/N(c) 15.9 23.9 30.1
SN(E/C) 0.53
1620036
RedGreenBlue
z19.03
znorm14.78
sky 14.0 13.6 13.9
S/N 17.7 25.3 31.3
S/N(c) 16.1 24.3 30.0
SN(E/C) 0.52
1620037
RedGreenBlue
z19.01
znorm14.76
sky 14.1 13.7 14.0
S/N 17.6 25.6 30.8
S/N(c) 16.1 24.5 29.5
SN(E/C) 0.51
1620038
RedGreenBlue
z19.10
znorm14.85
sky 14.0 13.8 14.0
S/N 18.4 26.3 31.5
S/N(c) 17.1 25.5 30.6
SN(E/C) 0.49
1620039
RedGreenBlue
z19.10
znorm14.86
sky 14.2 13.9 14.0
S/N 18.9 27.0 31.7
S/N(c) 17.4 25.9 30.5
SN(E/C) 0.50
1620040
RedGreenBlue
z19.11
znorm14.86
sky 14.1 14.0 14.1
S/N 19.2 27.2 31.8
S/N(c) 17.6 26.0 30.6
SN(E/C) 0.49
1620041
RedGreenBlue
z19.13
znorm14.88
sky 14.2 14.0 14.1
S/N 19.4 27.7 32.4
S/N(c) 17.7 26.4 31.2
SN(E/C) 0.52
1620042
RedGreenBlue
z19.17
znorm14.92
sky 14.2 14.1 14.1
S/N 19.8 28.0 32.9
S/N(c) 18.2 27.1 31.7
SN(E/C) 0.51
1620043
RedGreenBlue
z19.18
znorm14.93
sky 14.2 14.0 14.1
S/N 20.0 28.4 33.1
S/N(c) 18.5 27.5 31.8
SN(E/C) 0.50
1620044
RedGreenBlue
z19.19
znorm14.94
sky 14.2 14.1 14.1
S/N 20.1 28.8 33.1
S/N(c) 18.3 27.4 32.0
SN(E/C) 0.49
1620045
RedGreenBlue
z19.20
znorm14.95
sky 14.2 14.2 14.1
S/N 20.2 28.9 33.2
S/N(c) 18.4 27.6 32.3
SN(E/C) 0.48