PLATE: 4818 MJD: 55727 FIELD: M13

FrameCartsec zseeingNreadsDitherPixshiftZerosky continuumS/NS/N(c)
1650036 7 1.01 1.28 50 0.00 -0.00 19.06 [14.27,13.91,14.52] [ 15.9, 23.5, 29.0] [ 14.2, 22.6, 27.7]
1650037 7 1.00 1.31 50 0.00 0.00 19.06 [14.35,13.99,14.44] [ 15.7, 23.7, 29.0] [ 14.1, 22.7, 27.6]
1650038 7 1.00 1.47 50 0.00 -0.00 18.94 [14.56,14.18,14.49] [ 14.3, 22.3, 27.1] [ 12.7, 21.1, 25.7]

01650036 0.00000 298.074
01650037 0.00000 296.737
01650038 0.00000 279.962

Visit (multiple exposure and dither combined) spectra

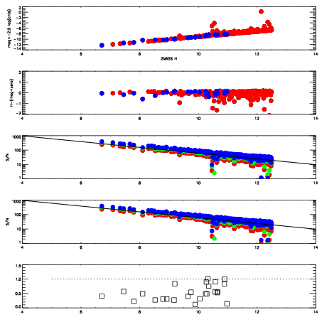
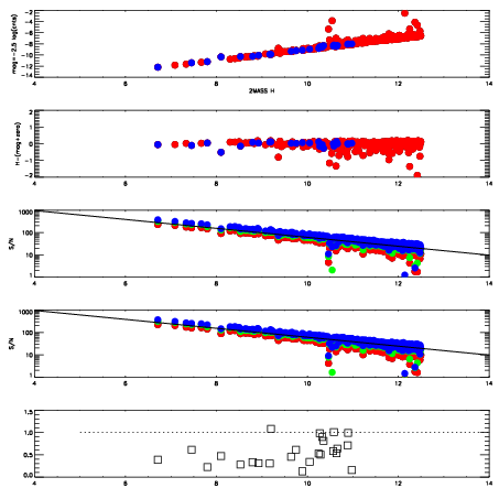
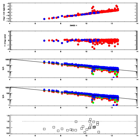
FrameZeropointsMag plots Spatial mag deviation Spatial sky 16325A emission deviations (filled: sky, open: star) Spatial sky continuum emission Spatial sky telluric CO2 absorption deviations (filled: H < 10)
1650036
RedGreenBlue
z19.06
znorm14.82
sky 14.3 13.9 14.5
S/N 15.9 23.5 29.0
S/N(c) 14.2 22.6 27.7
SN(E/C) 0.48
1650037
RedGreenBlue
z19.06
znorm14.82
sky 14.3 14.0 14.4
S/N 15.7 23.7 29.0
S/N(c) 14.1 22.7 27.6
SN(E/C) 0.49
1650038
RedGreenBlue
z18.94
znorm14.69
sky 14.6 14.2 14.5
S/N 14.3 22.3 27.1
S/N(c) 12.7 21.1 25.7
SN(E/C) 0.52