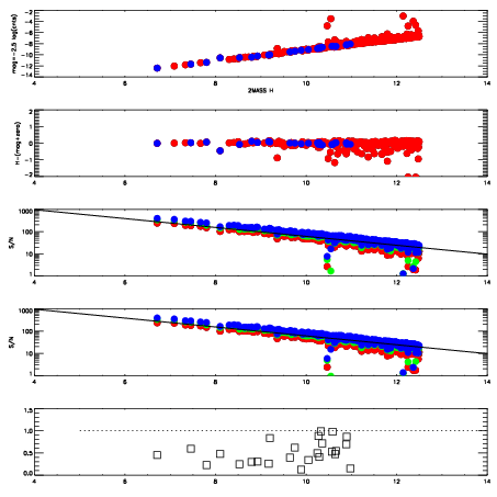
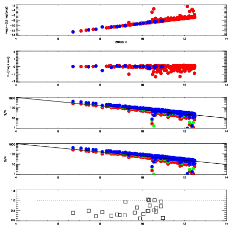
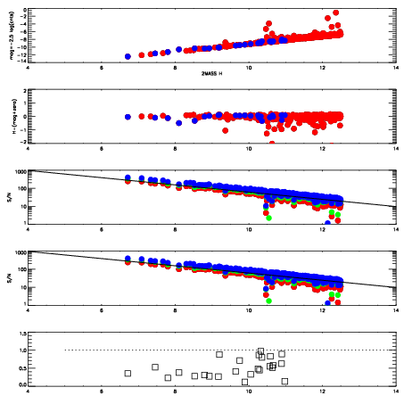
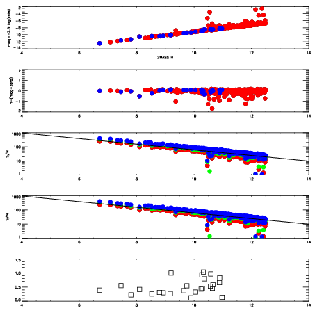
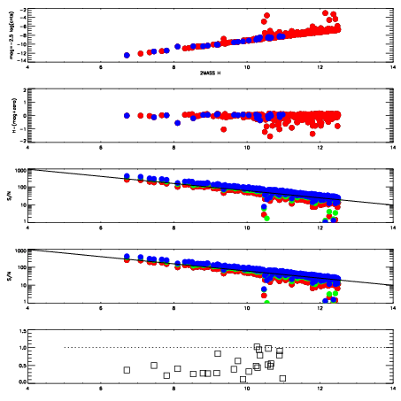
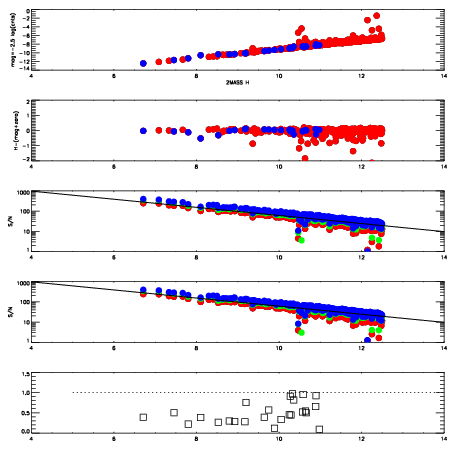
| Frame | Nreads | Zeropoints | Mag plots
| Spatial mag deviation
| Spatial sky 16325A emission deviations (filled: sky, open: star)
| Spatial sky continuum emission
| Spatial sky telluric CO2 absorption deviations (filled: H < 10)
|
| 1660029
| 50
| | Red | Green | Blue
| | z | | 19.17
| | znorm | | 14.92
| | sky | 14.3 | 14.2 | 14.6
| | S/N | 16.5 | 25.1 | 29.6
| | S/N(c) | 15.0 | 23.6 | 28.0
| | SN(E/C) | 0.45
|
|
|
|
|
|
|
| 1660030
| 50
| | Red | Green | Blue
| | z | | 19.17
| | znorm | | 14.93
| | sky | 14.3 | 14.1 | 14.6
| | S/N | 16.7 | 25.1 | 29.9
| | S/N(c) | 15.1 | 23.5 | 28.2
| | SN(E/C) | 0.48
|
|
|
|
|
|
|
| 1660031
| 50
| | Red | Green | Blue
| | z | | 19.15
| | znorm | | 14.91
| | sky | 14.3 | 14.3 | 14.5
| | S/N | 16.3 | 24.7 | 29.1
| | S/N(c) | 14.7 | 23.3 | 27.7
| | SN(E/C) | 0.45
|
|
|
|
|
|
|
| 1660032
| 50
| | Red | Green | Blue
| | z | | 19.19
| | znorm | | 14.94
| | sky | 14.2 | 14.2 | 14.5
| | S/N | 16.6 | 25.3 | 29.1
| | S/N(c) | 14.9 | 23.8 | 27.6
| | SN(E/C) | 0.47
|
|
|
|
|
|
|
| 1660033
| 50
| | Red | Green | Blue
| | z | | 19.18
| | znorm | | 14.93
| | sky | 14.4 | 14.3 | 14.6
| | S/N | 16.5 | 25.5 | 28.7
| | S/N(c) | 14.8 | 23.8 | 27.5
| | SN(E/C) | 0.47
|
|
|
|
|
|
|
| 1660034
| 50
| | Red | Green | Blue
| | z | | 19.11
| | znorm | | 14.86
| | sky | 14.4 | 14.3 | 14.5
| | S/N | 15.2 | 23.9 | 26.9
| | S/N(c) | 13.6 | 22.4 | 25.4
| | SN(E/C) | 0.48
|
|
|
|
|
|
|
| 1660035
| 30
| | Red | Green | Blue
| | z | | 13.50
| | znorm | | 9.81
| | sky | 14.6 | 14.5 | 14.8
| | S/N | -0.1 | 0.3 | 0.0
| | S/N(c) | 0.0 | 0.0 | 0.0
| | SN(E/C) | 1.99
|
|
|
|
|
|
|