PLATE: 4819 MJD: 55730 FIELD: M13

FrameCartsec zseeingNreadsDitherPixshiftZerosky continuumS/NS/N(c)
1680035 7 1.00 1.41 50 0.00 0.00 18.74 [14.20,14.09,13.95] [ 12.8, 20.7, 22.8] [ 11.2, 19.7, 21.9]
1680036 7 1.00 1.30 50 0.00 0.00 18.56 [14.12,13.98,14.17] [ 11.2, 18.4, 20.7] [ 9.4, 17.1, 19.3]
1680037 7 1.00 1.24 50 0.00 0.00 18.69 [14.16,14.04,14.24] [ 12.3, 20.4, 22.2] [ 10.7, 18.7, 20.9]
1680038 7 1.00 1.39 50 0.00 -0.00 18.73 [14.20,14.12,14.30] [ 12.0, 20.2, 22.6] [ 10.4, 18.5, 20.8]
1680039 7 1.01 1.28 50 0.00 0.00 18.75 [14.08,14.16,14.31] [ 13.2, 21.5, 23.8] [ 11.5, 19.9, 22.0]

01680035 0.00000 211.443
01680036 0.00000 199.687
01680037 0.00000 218.688
01680038 0.00000 214.915
01680039 0.00000 223.150

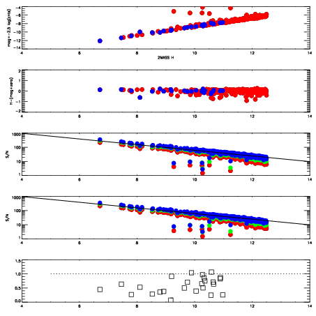
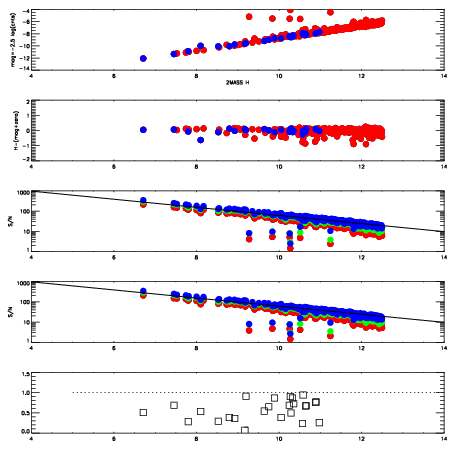
Visit (multiple exposure and dither combined) spectra

FrameZeropointsMag plots Spatial mag deviation Spatial sky 16325A emission deviations (filled: sky, open: star) Spatial sky continuum emission Spatial sky telluric CO2 absorption deviations (filled: H < 10)
1680035
RedGreenBlue
z18.74
znorm14.49
sky 14.2 14.1 14.0
S/N 12.8 20.7 22.8
S/N(c) 11.2 19.7 21.9
SN(E/C) 0.60
1680036
RedGreenBlue
z18.56
znorm14.32
sky 14.1 14.0 14.2
S/N 11.2 18.4 20.7
S/N(c) 9.4 17.1 19.3
SN(E/C) 0.60
1680037
RedGreenBlue
z18.69
znorm14.44
sky 14.2 14.0 14.2
S/N 12.3 20.4 22.2
S/N(c) 10.7 18.7 20.9
SN(E/C) 0.63
1680038
RedGreenBlue
z18.73
znorm14.48
sky 14.2 14.1 14.3
S/N 12.0 20.2 22.6
S/N(c) 10.4 18.5 20.8
SN(E/C) 0.65
1680039
RedGreenBlue
z18.75
znorm14.51
sky 14.1 14.2 14.3
S/N 13.2 21.5 23.8
S/N(c) 11.5 19.9 22.0
SN(E/C) 0.60