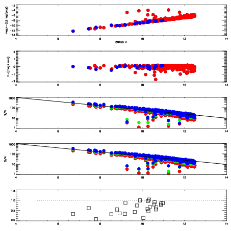
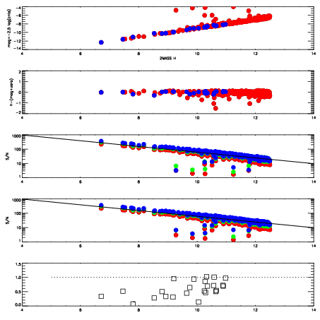
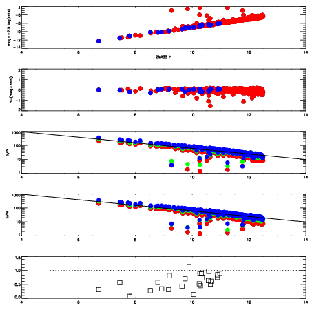
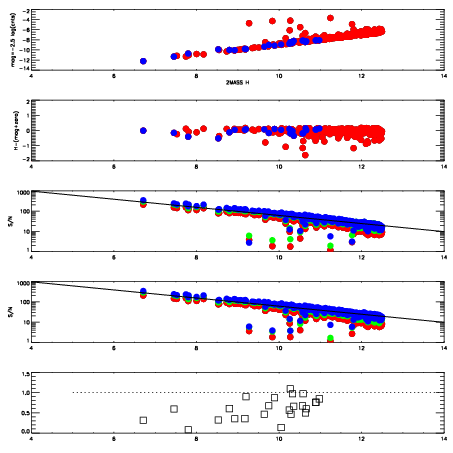
Left plots: red are targets, blue are telluric. Observed mags are calculated from median value of green chip. Zeropoint gives overall throughput: bigger number is more throughput.
First spatial plots: circles are objects, squares are tellurics, crosses are sky fibers. Colors give deviation of observed mag from expected 2MASS mag using the median zeropoint; red is brighter
Second spatial plots: circles are sky fibers. Colors give sky line brightness relative to plate median sky line brightness
FrameNreadsZeropointsMag plots Spatial mag deviation Spatial sky 16325A emission deviations (filled: sky, open: star) Spatial sky continuum emission Spatial sky telluric CO2 absorption deviations (filled: H < 10)
1960010 50
RedGreenBlue
z18.88
znorm14.63
sky 14.0 13.7 13.4
S/N 14.8 23.2 22.7
S/N(c) 13.0 21.3 24.1
SN(E/C) 0.62
1960011 50
RedGreenBlue
z18.92
znorm14.68
sky 14.0 14.1 13.7
S/N 14.3 23.1 23.3
S/N(c) 12.7 21.4 24.1
SN(E/C) 0.60
1960012 50
RedGreenBlue
z18.81
znorm14.57
sky 14.1 14.0 13.7
S/N 13.0 21.6 21.9
S/N(c) 11.4 19.9 22.4
SN(E/C) 0.66
1960013 50
RedGreenBlue
z18.90
znorm14.65
sky 14.1 14.2 13.8
S/N 13.5 22.7 23.3
S/N(c) 11.9 21.1 23.6
SN(E/C) 0.65
1960014 50
RedGreenBlue
z19.02
znorm14.77
sky 14.2 14.2 13.9
S/N 15.1 24.6 24.7
S/N(c) 13.3 22.5 25.3
SN(E/C) 0.59
1960015 50
RedGreenBlue
z18.98
znorm14.73
sky 14.2 14.3 13.9
S/N 14.8 24.3 24.5
S/N(c) 12.9 22.2 24.7
SN(E/C) 0.61
1960016 50
RedGreenBlue
z19.04
znorm14.79
sky 14.3 14.2 13.8
S/N 15.4 24.8 25.3
S/N(c) 13.5 22.9 25.3
SN(E/C) 0.54