PLATE: 4823 MJD: 55726 FIELD: APGS_N5466

FrameCartsec zseeingNreadsDitherPixshiftZerosky continuumS/NS/N(c)
1640033 3 1.01 1.33 50 0.00 -0.00 18.35 [13.22,12.90,13.16] [ 8.2, 13.4, 16.9] [ 7.2, 12.7, 15.8]
1640034 3 1.01 1.21 50 0.00 -0.00 18.31 [13.11,12.91,13.01] [ 7.9, 12.7, 16.0] [ 6.8, 11.9, 14.6]
1640035 3 1.02 1.39 50 0.00 0.00 16.70 [12.56,12.49,12.53] [ 1.8, 3.1, 4.2] [ 1.6, 3.0, 3.6]
1640036 3 1.02 2.77 50 0.00 -0.00 17.84 [12.96,12.84,12.95] [ 5.2, 8.9, 11.6] [ 4.7, 8.4, 10.7]
1640037 3 1.03 1.36 50 0.00 0.00 19.00 [14.05,13.86,13.99] [ 14.4, 22.3, 27.9] [ 12.7, 21.0, 26.4]
1640038 3 1.04 1.31 50 0.00 -0.00 18.88 [13.71,13.61,13.70] [ 13.1, 20.6, 25.3] [ 11.7, 18.9, 23.4]
1640039 3 1.05 1.38 50 0.00 0.00 15.25 [12.44,12.39,12.40] [ 0.4, 0.8, 1.3] [ 0.4, 0.8, 1.0]

01640033 0.00000 192.521
01640034 0.00000 195.537
01640035 0.00000 90.7826
01640036 0.00000 156.258
01640037 0.00000 271.683
01640038 0.00000 248.600
01640039 0.00000 37.6056

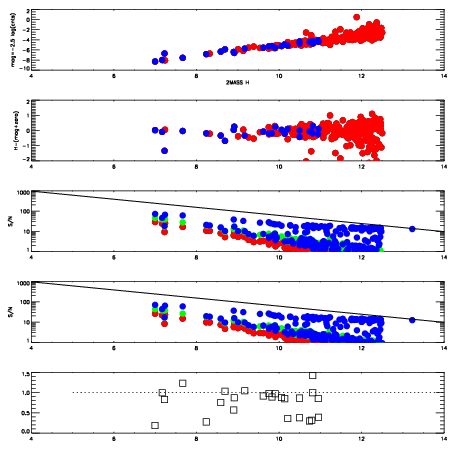
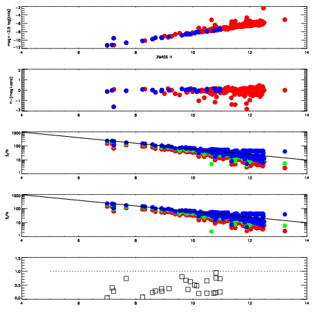
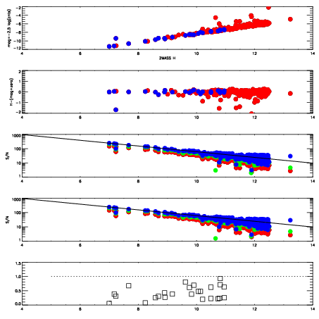
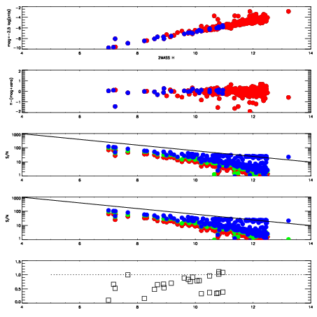
Visit (multiple exposure and dither combined) spectra

FrameZeropointsMag plots Spatial mag deviation Spatial sky 16325A emission deviations (filled: sky, open: star) Spatial sky continuum emission Spatial sky telluric CO2 absorption deviations (filled: H < 10)
1640033
RedGreenBlue
z18.35
znorm14.10
sky 13.2 12.9 13.2
S/N 8.2 13.4 16.9
S/N(c) 7.2 12.7 15.8
SN(E/C) 0.37
1640034
RedGreenBlue
z18.31
znorm14.06
sky 13.1 12.9 13.0
S/N 7.9 12.7 16.0
S/N(c) 6.8 11.9 14.6
SN(E/C) 0.38
1640035
RedGreenBlue
z16.70
znorm12.45
sky 12.6 12.5 12.5
S/N 1.8 3.1 4.2
S/N(c) 1.6 3.0 3.6
SN(E/C) 0.66
1640036
RedGreenBlue
z17.84
znorm13.59
sky 13.0 12.8 12.9
S/N 5.2 8.9 11.6
S/N(c) 4.7 8.4 10.7
SN(E/C) 0.43
1640037
RedGreenBlue
z19.00
znorm14.75
sky 14.0 13.9 14.0
S/N 14.4 22.3 27.9
S/N(c) 12.7 21.0 26.4
SN(E/C) 0.27
1640038
RedGreenBlue
z18.88
znorm14.64
sky 13.7 13.6 13.7
S/N 13.1 20.6 25.3
S/N(c) 11.7 18.9 23.4
SN(E/C) 0.29
1640039
RedGreenBlue
z15.25
znorm11.00
sky 12.4 12.4 12.4
S/N 0.4 0.8 1.3
S/N(c) 0.4 0.8 1.0
SN(E/C) 0.86