PLATE: 4824 MJD: 55722 FIELD: N5634SGR2

FrameCartsec zseeingNreadsDitherPixshiftZerosky continuumS/NS/N(c)
1600085 4 1.36 0.00 50 0.00 -0.00 19.04 [14.27,13.58,13.84] [ 15.9, 22.9, 27.2] [ 13.5, 22.0, 25.7]
1600086 4 1.38 0.00 50 0.00 0.00 19.08 [14.19,13.67,13.98] [ 16.3, 24.3, 28.3] [ 14.0, 22.6, 26.9]
1600087 4 1.40 0.00 50 0.00 0.00 19.02 [14.12,13.77,13.96] [ 15.3, 23.3, 27.2] [ 13.1, 21.6, 25.9]
1600088 4 1.43 0.00 50 0.00 -0.00 19.07 [14.15,13.80,13.97] [ 16.2, 24.4, 27.0] [ 13.7, 22.4, 25.6]
1600089 4 1.46 0.00 50 0.00 0.00 19.15 [14.01,13.77,13.91] [ 16.3, 25.4, 28.0] [ 14.3, 23.2, 26.6]
1600090 4 1.50 0.00 50 0.00 -0.00 19.04 [14.15,13.80,13.94] [ 15.3, 23.7, 26.6] [ 13.1, 21.6, 25.1]

01600085 0.00000 284.944
01600086 0.00000 287.551
01600087 0.00000 278.982
01600088 0.00000 283.564
01600089 0.00000 293.275
01600090 0.00000 279.831

Visit (multiple exposure and dither combined) spectra

FrameZeropointsMag plots Spatial mag deviation Spatial sky 16325A emission deviations (filled: sky, open: star) Spatial sky continuum emission Spatial sky telluric CO2 absorption deviations (filled: H < 10)
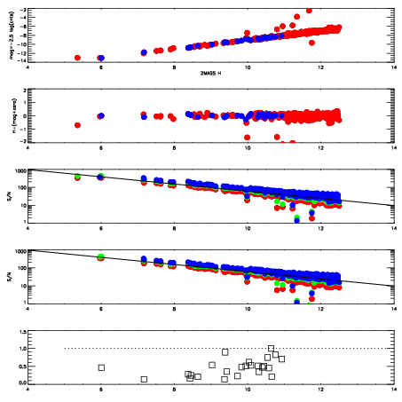
1600085
RedGreenBlue
z19.04
znorm14.79
sky 14.3 13.6 13.8
S/N 15.9 22.9 27.2
S/N(c) 13.5 22.0 25.7
SN(E/C) 0.47
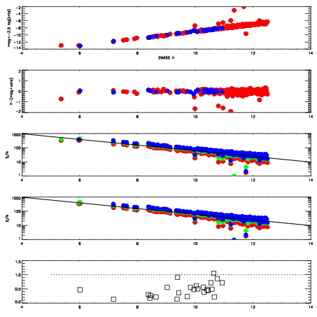
1600086
RedGreenBlue
z19.08
znorm14.83
sky 14.2 13.7 14.0
S/N 16.3 24.3 28.3
S/N(c) 14.0 22.6 26.9
SN(E/C) 0.44
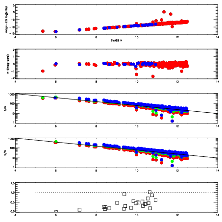
1600087
RedGreenBlue
z19.02
znorm14.77
sky 14.1 13.8 14.0
S/N 15.3 23.3 27.2
S/N(c) 13.1 21.6 25.9
SN(E/C) 0.47
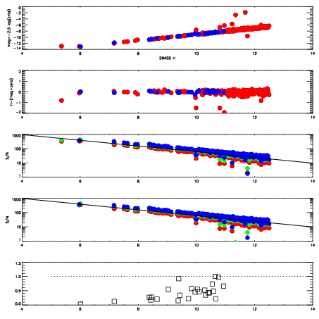
1600088
RedGreenBlue
z19.07
znorm14.82
sky 14.2 13.8 14.0
S/N 16.2 24.4 27.0
S/N(c) 13.7 22.4 25.6
SN(E/C) 0.43
1600089
RedGreenBlue
z19.15
znorm14.90
sky 14.0 13.8 13.9
S/N 16.3 25.4 28.0
S/N(c) 14.3 23.2 26.6
SN(E/C) 0.43
1600090
RedGreenBlue
z19.04
znorm14.79
sky 14.1 13.8 13.9
S/N 15.3 23.7 26.6
S/N(c) 13.1 21.6 25.1
SN(E/C) 0.45