PLATE: 4824 MJD: 55723 FIELD: N5634SGR2

FrameCartsec zseeingNreadsDitherPixshiftZerosky continuumS/NS/N(c)
1610034 4 1.31 0.00 50 0.00 0.00 19.04 [14.18,13.52,14.01] [ 15.9, 23.2, 28.2] [ 13.7, 22.0, 26.6]
1610035 4 1.32 0.00 50 0.00 -0.00 19.13 [14.10,13.73,13.99] [ 16.8, 24.9, 29.5] [ 14.5, 23.3, 27.9]
1610036 4 1.33 0.00 50 0.00 0.00 19.14 [14.20,13.80,14.00] [ 16.8, 25.6, 29.7] [ 14.6, 23.7, 27.9]
1610037 4 1.35 0.00 50 0.00 -0.00 19.16 [14.21,13.85,13.93] [ 17.0, 26.2, 29.6] [ 14.7, 24.2, 28.1]
1610038 4 1.37 0.00 50 0.00 0.00 19.16 [13.99,13.86,13.89] [ 16.7, 26.1, 29.5] [ 14.4, 24.1, 27.7]
1610039 4 1.39 0.00 50 0.00 -0.00 19.12 [14.12,13.88,13.91] [ 16.4, 25.7, 28.8] [ 14.1, 23.4, 27.0]

01610034 0.00000 299.164
01610035 0.00000 309.171
01610036 0.00000 310.726
01610037 0.00000 312.205
01610038 0.00000 310.435
01610039 0.00000 304.644

Visit (multiple exposure and dither combined) spectra

FrameZeropointsMag plots Spatial mag deviation Spatial sky 16325A emission deviations (filled: sky, open: star) Spatial sky continuum emission Spatial sky telluric CO2 absorption deviations (filled: H < 10)
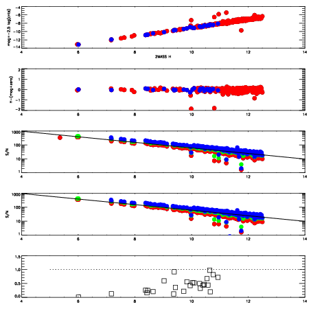
1610034
RedGreenBlue
z19.04
znorm14.80
sky 14.2 13.5 14.0
S/N 15.9 23.2 28.2
S/N(c) 13.7 22.0 26.6
SN(E/C) 0.49
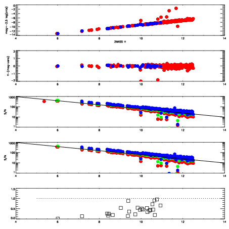
1610035
RedGreenBlue
z19.13
znorm14.88
sky 14.1 13.7 14.0
S/N 16.8 24.9 29.5
S/N(c) 14.5 23.3 27.9
SN(E/C) 0.44
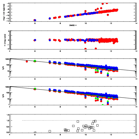
1610036
RedGreenBlue
z19.14
znorm14.90
sky 14.2 13.8 14.0
S/N 16.8 25.6 29.7
S/N(c) 14.6 23.7 27.9
SN(E/C) 0.44
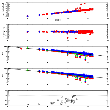
1610037
RedGreenBlue
z19.16
znorm14.91
sky 14.2 13.8 13.9
S/N 17.0 26.2 29.6
S/N(c) 14.7 24.2 28.1
SN(E/C) 0.44
1610038
RedGreenBlue
z19.16
znorm14.91
sky 14.0 13.9 13.9
S/N 16.7 26.1 29.5
S/N(c) 14.4 24.1 27.7
SN(E/C) 0.43
1610039
RedGreenBlue
z19.12
znorm14.87
sky 14.1 13.9 13.9
S/N 16.4 25.7 28.8
S/N(c) 14.1 23.4 27.0
SN(E/C) 0.43