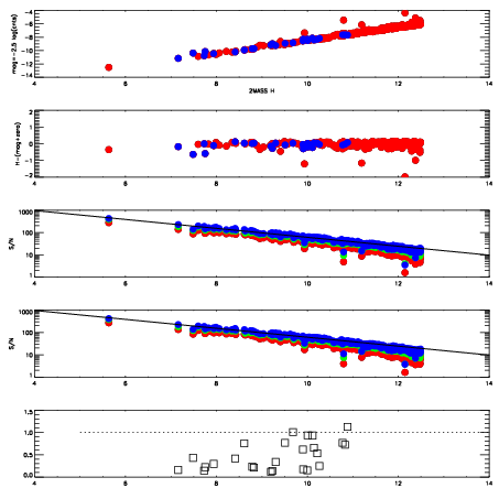
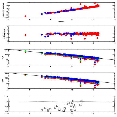
| Frame | Nreads | Zeropoints | Mag plots
| Spatial mag deviation
| Spatial sky 16325A emission deviations (filled: sky, open: star)
| Spatial sky continuum emission
| Spatial sky telluric CO2 absorption deviations (filled: H < 10)
|
| 1970022
| 50
| | Red | Green | Blue
| | z | | 18.89
| | znorm | | 14.64
| | sky | 14.5 | 14.2 | 14.2
| | S/N | 13.6 | 22.3 | 24.7
| | S/N(c) | 12.0 | 21.1 | 23.0
| | SN(E/C) | 0.36
|
|
|
|
|
|
|
| 1970023
| 50
| | Red | Green | Blue
| | z | | 18.80
| | znorm | | 14.55
| | sky | 14.5 | 14.5 | 14.7
| | S/N | 12.7 | 21.2 | 23.6
| | S/N(c) | 11.2 | 19.5 | 21.8
| | SN(E/C) | 0.38
|
|
|
|
|
|
|
| 1970024
| 50
| | Red | Green | Blue
| | z | | 18.86
| | znorm | | 14.61
| | sky | 14.6 | 14.5 | 14.8
| | S/N | 13.2 | 21.6 | 24.1
| | S/N(c) | 11.6 | 20.0 | 22.5
| | SN(E/C) | 0.36
|
|
|
|
|
|
|
| 1970025
| 50
| | Red | Green | Blue
| | z | | 18.93
| | znorm | | 14.69
| | sky | 14.5 | 14.4 | 14.5
| | S/N | 14.3 | 22.9 | 25.0
| | S/N(c) | 12.7 | 21.3 | 23.2
| | SN(E/C) | 0.30
|
|
|
|
|
|
|
| 1970026
| 50
| | Red | Green | Blue
| | z | | 18.71
| | znorm | | 14.46
| | sky | 14.5 | 14.5 | 14.6
| | S/N | 11.9 | 20.3 | 22.2
| | S/N(c) | 10.5 | 18.5 | 20.2
| | SN(E/C) | 0.38
|
|
|
|
|
|
|
| 1970027
| 50
| | Red | Green | Blue
| | z | | 18.76
| | znorm | | 14.51
| | sky | 14.2 | 14.4 | 14.4
| | S/N | 12.2 | 20.5 | 22.6
| | S/N(c) | 10.8 | 18.8 | 21.0
| | SN(E/C) | 0.37
|
|
|
|
|
|
|
| 1970028
| 50
| | Red | Green | Blue
| | z | | 18.50
| | znorm | | 14.25
| | sky | 14.2 | 14.5 | 14.5
| | S/N | 10.1 | 17.5 | 19.2
| | S/N(c) | 8.9 | 16.2 | 18.0
| | SN(E/C) | 0.41
|
|
|
|
|
|
|