PLATE: 4829 MJD: 55733 FIELD: FirstLight2

FrameCartsec zseeingNreadsDitherPixshiftZerosky continuumS/NS/N(c)
1710051 1 1.37 1.87 50 0.00 0.00 18.22 [14.00,13.36,13.75] [ 9.1, 13.7, 18.5] [ 8.5, 12.7, 17.6]
1710052 1 1.33 1.77 50 0.00 0.00 18.23 [13.94,13.45,13.90] [ 9.9, 15.1, 19.9] [ 9.1, 14.4, 18.6]
1710053 1 1.30 1.64 50 0.00 0.00 18.37 [14.00,13.56,13.82] [ 11.1, 17.0, 19.6] [ 9.8, 15.1, 18.2]
1710054 1 1.27 1.56 50 0.00 -0.00 18.23 [14.09,13.65,13.86] [ 10.1, 15.6, 18.6] [ 9.0, 14.6, 17.3]
1710055 1 1.24 1.35 50 0.00 -0.00 18.16 [14.12,13.83,13.92] [ 9.2, 14.7, 17.4] [ 8.3, 13.5, 16.4]
1710056 1 1.21 1.90 50 0.00 -0.00 18.10 [14.28,13.93,14.07] [ 9.1, 14.4, 16.8] [ 8.3, 13.2, 15.9]
1710057 1 1.19 1.48 50 0.00 -0.00 18.01 [14.13,13.99,14.19] [ 8.8, 13.6, 16.7] [ 8.2, 12.7, 15.6]
1710058 1 1.16 1.68 50 0.00 -0.00 17.99 [14.21,14.09,14.23] [ 8.9, 13.4, 16.6] [ 7.8, 12.3, 15.5]

01710051 0.00000 168.871
01710052 0.00000 174.595
01710053 0.00000 186.484
01710054 0.00000 173.408
01710055 0.00000 164.453
01710056 0.00000 161.009
01710057 0.00000 152.736
01710058 0.00000 150.590

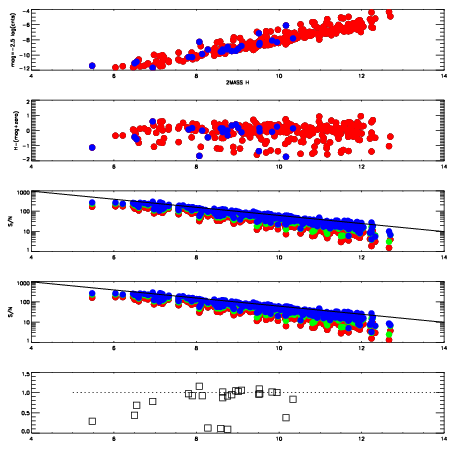
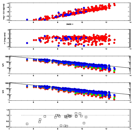
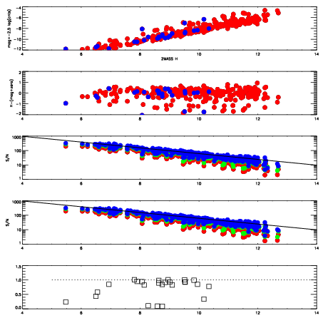
Visit (multiple exposure and dither combined) spectra

FrameZeropointsMag plots Spatial mag deviation Spatial sky 16325A emission deviations (filled: sky, open: star) Spatial sky continuum emission Spatial sky telluric CO2 absorption deviations (filled: H < 10)
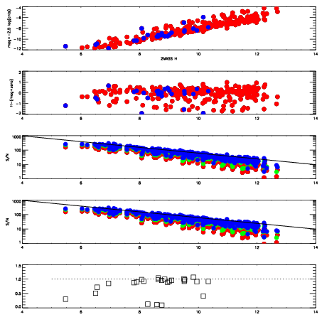
1710051
RedGreenBlue
z18.22
znorm13.97
sky 14.0 13.4 13.7
S/N 9.1 13.7 18.5
S/N(c) 8.5 12.7 17.6
SN(E/C) 0.93
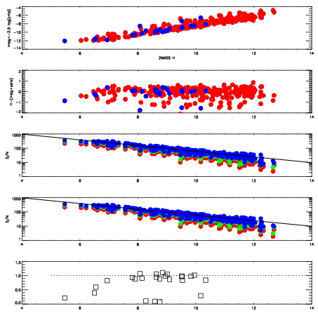
1710052
RedGreenBlue
z18.23
znorm13.98
sky 13.9 13.5 13.9
S/N 9.9 15.1 19.9
S/N(c) 9.1 14.4 18.6
SN(E/C) 0.93
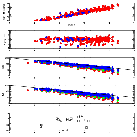
1710053
RedGreenBlue
z18.37
znorm14.12
sky 14.0 13.6 13.8
S/N 11.1 17.0 19.6
S/N(c) 9.8 15.1 18.2
SN(E/C) 0.88
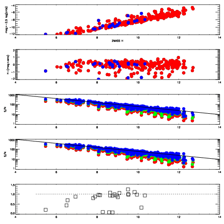
1710054
RedGreenBlue
z18.23
znorm13.98
sky 14.1 13.6 13.9
S/N 10.1 15.6 18.6
S/N(c) 9.0 14.6 17.3
SN(E/C) 0.85
1710055
RedGreenBlue
z18.16
znorm13.92
sky 14.1 13.8 13.9
S/N 9.2 14.7 17.4
S/N(c) 8.3 13.5 16.4
SN(E/C) 0.90
1710056
RedGreenBlue
z18.10
znorm13.85
sky 14.3 13.9 14.1
S/N 9.1 14.4 16.8
S/N(c) 8.3 13.2 15.9
SN(E/C) 0.90
1710057
RedGreenBlue
z18.01
znorm13.76
sky 14.1 14.0 14.2
S/N 8.8 13.6 16.7
S/N(c) 8.2 12.7 15.6
SN(E/C) 0.92
1710058
RedGreenBlue
z17.99
znorm13.75
sky 14.2 14.1 14.2
S/N 8.9 13.4 16.6
S/N(c) 7.8 12.3 15.5
SN(E/C) 0.92