PLATE: 4830 MJD: 55703 FIELD: FirstLight2

FrameCartsec zseeingNreadsDitherPixshiftZerosky continuumS/NS/N(c)
1410027 9 1.66 0.00 50 0.00 0.00 18.70 [14.29,13.73,14.07] [ 11.9, 16.4, 20.2] [ 10.3, 14.4, 18.7]
1410028 9 1.59 0.00 50 0.00 -0.00 18.74 [14.35,13.88,14.20] [ 11.9, 16.8, 21.8] [ 10.0, 15.2, 20.2]
1410029 9 1.54 0.00 50 0.00 -0.00 18.90 [14.26,13.97,14.14] [ 13.5, 18.8, 23.5] [ 11.4, 16.7, 21.9]
1410030 9 1.49 0.00 50 0.00 -0.00 19.00 [14.39,14.08,14.24] [ 14.4, 21.1, 25.1] [ 12.1, 19.0, 23.4]
1410031 9 1.44 0.00 50 0.00 -0.00 18.99 [14.27,14.14,14.15] [ 14.1, 20.9, 24.8] [ 11.9, 18.8, 23.1]
1410032 9 1.40 0.00 50 0.00 -0.00 19.04 [14.36,14.11,14.24] [ 14.4, 22.0, 25.6] [ 12.2, 20.0, 23.9]
1410033 9 1.35 0.00 50 0.00 -0.00 18.99 [14.52,14.20,14.25] [ 13.9, 21.7, 24.6] [ 11.9, 19.6, 23.3]
1410034 9 1.32 0.00 50 0.00 -0.00 19.06 [14.56,14.24,14.36] [ 14.6, 22.6, 25.9] [ 12.6, 20.5, 24.2]
1410035 9 1.28 0.00 50 0.00 -0.00 19.14 [14.49,14.31,14.30] [ 15.1, 23.4, 26.6] [ 13.1, 21.5, 25.1]
1410036 9 1.25 0.00 50 0.00 0.00 19.16 [14.51,14.18,14.30] [ 15.7, 23.7, 27.9] [ 13.9, 22.3, 26.6]
1410037 9 1.22 0.00 50 0.00 0.00 19.17 [14.37,14.27,14.26] [ 15.9, 23.8, 28.2] [ 14.0, 22.5, 26.7]
1410038 9 1.20 0.00 50 0.00 0.00 19.15 [14.34,14.25,14.29] [ 15.9, 24.0, 28.3] [ 14.1, 22.3, 26.8]
1410039 9 1.17 0.00 50 0.00 0.00 19.12 [14.29,14.22,14.28] [ 16.0, 23.8, 28.0] [ 13.9, 22.1, 26.6]
1410040 9 1.15 0.00 50 0.00 -0.00 19.09 [14.22,14.35,14.30] [ 14.6, 23.3, 26.4] [ 13.0, 21.4, 25.0]

01410027 0.00000 101.845
01410028 0.00000 117.310
01410029 0.00000 125.891
01410030 0.00000 137.515
01410031 0.00000 142.837
01410032 0.00000 145.725
01410033 0.00000 150.223
01410034 0.00000 156.360
01410035 0.00000 162.880
01410036 0.00000 171.798
01410037 0.00000 171.427
01410038 0.00000 170.225
01410039 0.00000 170.390
01410040 0.00000 162.859

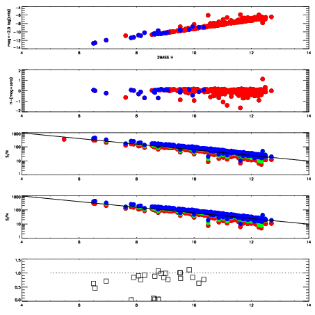
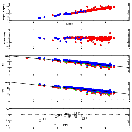
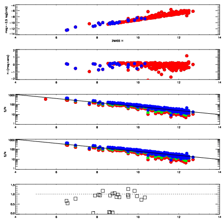
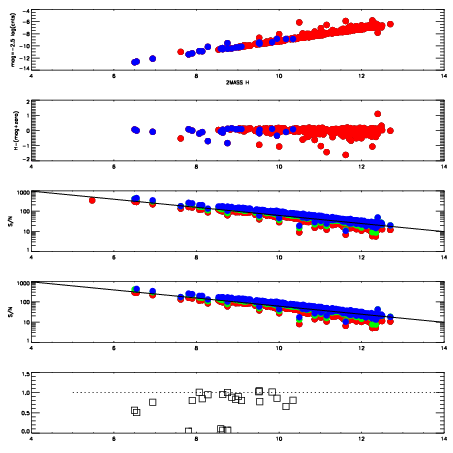
Visit (multiple exposure and dither combined) spectra

FrameZeropointsMag plots Spatial mag deviation Spatial sky 16325A emission deviations (filled: sky, open: star) Spatial sky continuum emission Spatial sky telluric CO2 absorption deviations (filled: H < 10)
1410027
RedGreenBlue
z18.70
znorm14.45
sky 14.3 13.7 14.1
S/N 11.9 16.4 20.2
S/N(c) 10.3 14.4 18.7
SN(E/C) 0.86
1410028
RedGreenBlue
z18.74
znorm14.49
sky 14.4 13.9 14.2
S/N 11.9 16.8 21.8
S/N(c) 10.0 15.2 20.2
SN(E/C) 0.86
1410029
RedGreenBlue
z18.90
znorm14.65
sky 14.3 14.0 14.1
S/N 13.5 18.8 23.5
S/N(c) 11.4 16.7 21.9
SN(E/C) 0.89
1410030
RedGreenBlue
z19.00
znorm14.76
sky 14.4 14.1 14.2
S/N 14.4 21.1 25.1
S/N(c) 12.1 19.0 23.4
SN(E/C) 0.84
1410031
RedGreenBlue
z18.99
znorm14.74
sky 14.3 14.1 14.1
S/N 14.1 20.9 24.8
S/N(c) 11.9 18.8 23.1
SN(E/C) 0.83
1410032
RedGreenBlue
z19.04
znorm14.79
sky 14.4 14.1 14.2
S/N 14.4 22.0 25.6
S/N(c) 12.2 20.0 23.9
SN(E/C) 0.86
1410033
RedGreenBlue
z18.99
znorm14.74
sky 14.5 14.2 14.2
S/N 13.9 21.7 24.6
S/N(c) 11.9 19.6 23.3
SN(E/C) 0.88
1410034
RedGreenBlue
z19.06
znorm14.82
sky 14.6 14.2 14.4
S/N 14.6 22.6 25.9
S/N(c) 12.6 20.5 24.2
SN(E/C) 0.88
1410035
RedGreenBlue
z19.14
znorm14.89
sky 14.5 14.3 14.3
S/N 15.1 23.4 26.6
S/N(c) 13.1 21.5 25.1
SN(E/C) 0.83
1410036
RedGreenBlue
z19.16
znorm14.91
sky 14.5 14.2 14.3
S/N 15.7 23.7 27.9
S/N(c) 13.9 22.3 26.6
SN(E/C) 0.87
1410037
RedGreenBlue
z19.17
znorm14.92
sky 14.4 14.3 14.3
S/N 15.9 23.8 28.2
S/N(c) 14.0 22.5 26.7
SN(E/C) 0.83
1410038
RedGreenBlue
z19.15
znorm14.90
sky 14.3 14.3 14.3
S/N 15.9 24.0 28.3
S/N(c) 14.1 22.3 26.8
SN(E/C) 0.83
1410039
RedGreenBlue
z19.12
znorm14.88
sky 14.3 14.2 14.3
S/N 16.0 23.8 28.0
S/N(c) 13.9 22.1 26.6
SN(E/C) 0.83
1410040
RedGreenBlue
z19.09
znorm14.84
sky 14.2 14.4 14.3
S/N 14.6 23.3 26.4
S/N(c) 13.0 21.4 25.0
SN(E/C) 0.82