PLATE: 4911 MJD: 55752 FIELD: 030+04

FrameCartsec zseeingNreadsDitherPixshiftZerosky continuumS/NS/N(c)
1900084 9 1.20 1.67 50 0.00 -0.00 18.88 [14.60,13.91,13.67] [ 14.4, 20.1, 24.0] [ 12.5, 19.7, 23.9]
1900085 9 1.20 1.64 50 0.00 0.00 18.90 [14.42,14.14,13.98] [ 14.6, 20.0, 23.3] [ 12.6, 19.4, 23.3]
1900086 9 1.20 1.58 50 0.00 -0.00 18.94 [14.56,14.18,14.05] [ 14.7, 20.8, 23.2] [ 12.9, 20.2, 23.2]
1900087 9 1.20 1.54 50 0.00 0.00 18.92 [14.39,14.25,14.05] [ 14.2, 20.6, 23.1] [ 12.6, 19.4, 22.5]
1900088 9 1.21 1.74 50 0.00 0.00 18.83 [14.73,14.29,14.12] [ 13.5, 19.8, 21.6] [ 11.5, 18.6, 21.5]
1900089 9 1.21 1.70 50 0.00 -0.00 18.82 [14.44,14.28,14.13] [ 13.0, 19.8, 21.9] [ 11.3, 18.2, 21.3]
1900090 9 1.22 1.93 50 0.00 0.00 18.75 [14.30,14.34,14.15] [ 12.6, 19.4, 21.2] [ 10.9, 17.8, 20.6]

01900084 0.00000 321.397
01900085 0.00000 324.228
01900086 0.00000 329.570
01900087 0.00000 324.269
01900088 0.00000 308.557
01900089 0.00000 309.367
01900090 0.00000 298.638

Visit (multiple exposure and dither combined) spectra

FrameZeropointsMag plots Spatial mag deviation Spatial sky 16325A emission deviations (filled: sky, open: star) Spatial sky continuum emission Spatial sky telluric CO2 absorption deviations (filled: H < 10)
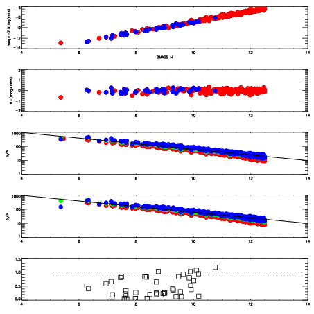
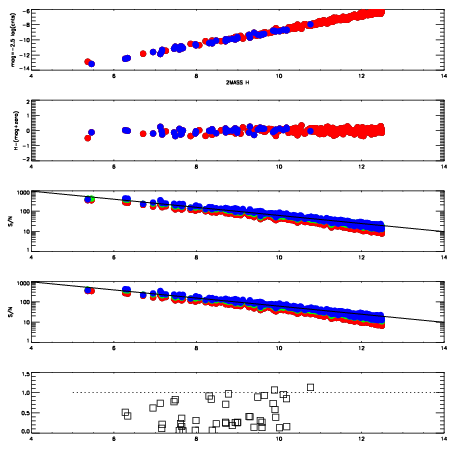
1900084
RedGreenBlue
z18.88
znorm14.63
sky 14.6 13.9 13.7
S/N 14.4 20.1 24.0
S/N(c) 12.5 19.7 23.9
SN(E/C) 0.36
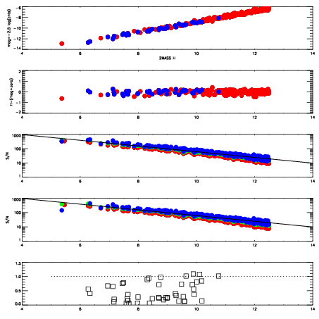
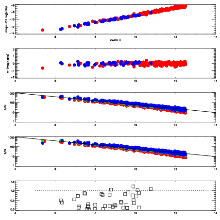
1900085
RedGreenBlue
z18.90
znorm14.66
sky 14.4 14.1 14.0
S/N 14.6 20.0 23.3
S/N(c) 12.6 19.4 23.3
SN(E/C) 0.36
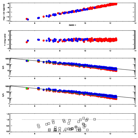
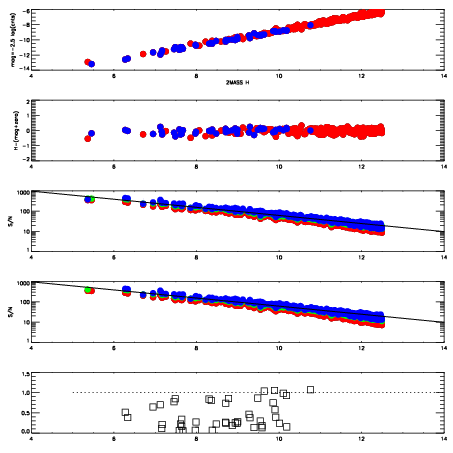
1900086
RedGreenBlue
z18.94
znorm14.70
sky 14.6 14.2 14.0
S/N 14.7 20.8 23.2
S/N(c) 12.9 20.2 23.2
SN(E/C) 0.34
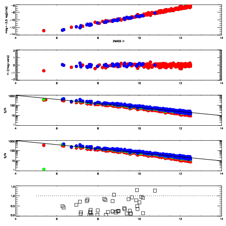
1900087
RedGreenBlue
z18.92
znorm14.67
sky 14.4 14.2 14.1
S/N 14.2 20.6 23.1
S/N(c) 12.6 19.4 22.5
SN(E/C) 0.36
1900088
RedGreenBlue
z18.83
znorm14.58
sky 14.7 14.3 14.1
S/N 13.5 19.8 21.6
S/N(c) 11.5 18.6 21.5
SN(E/C) 0.34
1900089
RedGreenBlue
z18.82
znorm14.57
sky 14.4 14.3 14.1
S/N 13.0 19.8 21.9
S/N(c) 11.3 18.2 21.3
SN(E/C) 0.38
1900090
RedGreenBlue
z18.75
znorm14.50
sky 14.3 14.3 14.2
S/N 12.6 19.4 21.2
S/N(c) 10.9 17.8 20.6
SN(E/C) 0.37