PLATE: 4912 MJD: 55725 FIELD: 030-08

FrameCartsec zseeingNreadsDitherPixshiftZerosky continuumS/NS/N(c)
1630075 9 1.34 1.48 50 0.00 0.00 19.01 [14.38,13.77,14.18] [ 18.6, 26.8, 31.3] [ 17.1, 26.1, 30.4]
1630076 9 1.35 1.38 50 0.00 0.00 18.93 [14.37,14.02,14.42] [ 17.8, 25.9, 30.0] [ 16.3, 25.3, 29.3]
1630077 9 1.37 1.43 50 0.00 -0.00 18.95 [14.66,14.12,14.38] [ 18.0, 26.2, 30.6] [ 16.3, 25.4, 29.7]
1630078 9 1.39 1.46 50 0.00 -0.00 18.92 [14.38,14.10,14.37] [ 17.9, 25.4, 30.3] [ 16.2, 24.5, 29.5]
1630079 9 1.42 1.49 50 0.00 0.00 18.97 [14.48,14.13,14.42] [ 18.3, 26.3, 31.1] [ 16.7, 25.4, 30.0]
1630080 9 1.45 1.53 50 0.00 -0.00 18.93 [14.37,14.27,14.42] [ 18.1, 26.0, 30.7] [ 16.5, 25.1, 29.5]
1630081 9 1.48 1.37 50 0.00 0.00 18.89 [14.52,14.19,14.35] [ 17.8, 25.7, 30.0] [ 16.1, 24.7, 28.8]
1630082 9 1.52 1.38 50 0.00 -0.00 18.87 [14.40,14.25,14.28] [ 17.6, 25.8, 29.5] [ 16.0, 24.8, 28.3]

01630075 0.00000 259.304
01630076 0.00000 253.389
01630077 0.00000 256.898
01630078 0.00000 251.973
01630079 0.00000 260.461
01630080 0.00000 257.199
01630081 0.00000 253.838
01630082 0.00000 254.402

Visit (multiple exposure and dither combined) spectra

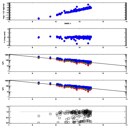
FrameZeropointsMag plots Spatial mag deviation Spatial sky 16325A emission deviations (filled: sky, open: star) Spatial sky continuum emission Spatial sky telluric CO2 absorption deviations (filled: H < 10)
1630075
RedGreenBlue
z19.01
znorm14.76
sky 14.4 13.8 14.2
S/N 18.6 26.8 31.3
S/N(c) 17.1 26.1 30.4
SN(E/C) 0.89
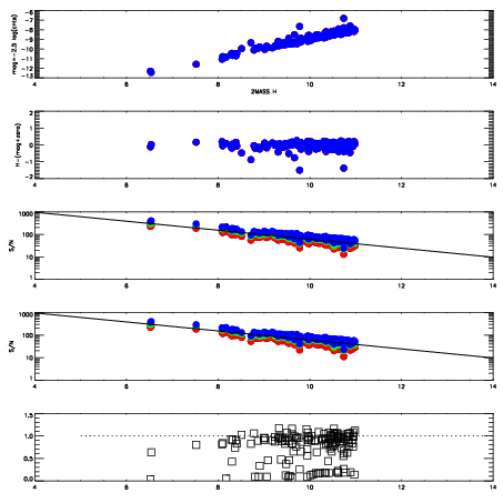
1630076
RedGreenBlue
z18.93
znorm14.69
sky 14.4 14.0 14.4
S/N 17.8 25.9 30.0
S/N(c) 16.3 25.3 29.3
SN(E/C) 0.91
1630077
RedGreenBlue
z18.95
znorm14.70
sky 14.7 14.1 14.4
S/N 18.0 26.2 30.6
S/N(c) 16.3 25.4 29.7
SN(E/C) 0.90
1630078
RedGreenBlue
z18.92
znorm14.67
sky 14.4 14.1 14.4
S/N 17.9 25.4 30.3
S/N(c) 16.2 24.5 29.5
SN(E/C) 0.90
1630079
RedGreenBlue
z18.97
znorm14.72
sky 14.5 14.1 14.4
S/N 18.3 26.3 31.1
S/N(c) 16.7 25.4 30.0
SN(E/C) 0.90
1630080
RedGreenBlue
z18.93
znorm14.69
sky 14.4 14.3 14.4
S/N 18.1 26.0 30.7
S/N(c) 16.5 25.1 29.5
SN(E/C) 0.89
1630081
RedGreenBlue
z18.89
znorm14.64
sky 14.5 14.2 14.3
S/N 17.8 25.7 30.0
S/N(c) 16.1 24.7 28.8
SN(E/C) 0.90
1630082
RedGreenBlue
z18.87
znorm14.62
sky 14.4 14.3 14.3
S/N 17.6 25.8 29.5
S/N(c) 16.0 24.8 28.3
SN(E/C) 0.91