PLATE: 4912 MJD: 55727 FIELD: 030-08

FrameCartsec zseeingNreadsDitherPixshiftZerosky continuumS/NS/N(c)
1650062 9 1.29 1.37 25 0.00 -0.00 18.25 [14.93,13.88,14.19] [ 10.9, 17.4, 20.3] [ 9.9, 16.9, 19.5]
1650063 9 1.29 1.52 25 0.00 0.00 18.16 [14.70,14.11,14.45] [ 9.8, 16.7, 18.4] [ 9.0, 16.3, 17.6]
1650064 9 1.29 1.56 25 0.00 0.00 17.73 [14.17,14.34,14.43] [ 7.2, 12.6, 13.9] [ 6.3, 12.2, 13.4]
1650065 9 1.29 1.40 25 0.00 0.00 16.80 [14.16,14.26,14.53] [ 2.9, 6.2, 7.3] [ 2.6, 5.8, 6.9]
1650066 9 1.29 1.36 25 0.00 0.00 18.29 [14.21,14.20,14.28] [ 11.3, 18.5, 20.4] [ 10.3, 18.0, 19.8]
1650067 9 1.29 1.49 25 0.00 0.00 17.96 [14.17,14.23,14.69] [ 9.2, 15.6, 17.8] [ 8.3, 14.7, 17.1]
1650068 9 1.29 1.22 25 0.00 0.00 17.25 [14.57,14.15,14.59] [ 6.1, 10.8, 12.6] [ 5.2, 10.1, 11.9]
1650069 9 1.30 1.56 25 0.00 0.00 16.05 [14.35,14.43,14.75] [ 2.0, 4.7, 5.1] [ 1.8, 4.2, 4.7]
1650070 9 1.30 1.19 25 0.00 -0.00 18.29 [14.09,14.15,14.13] [ 11.3, 18.4, 20.2] [ 10.2, 17.7, 19.5]

01650062 0.00000 190.278
01650063 0.00000 166.302
01650064 0.00000 105.762
01650065 0.00000 49.6163
01650066 0.00000 190.220
01650067 0.00000 176.082
01650068 0.00000 123.692
01650069 0.00000 61.2048
01650070 0.00000 191.085

Visit (multiple exposure and dither combined) spectra

FrameZeropointsMag plots Spatial mag deviation Spatial sky 16325A emission deviations (filled: sky, open: star) Spatial sky continuum emission Spatial sky telluric CO2 absorption deviations (filled: H < 10)
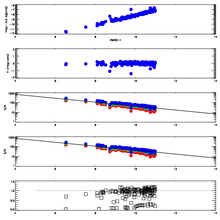
1650062
RedGreenBlue
z18.25
znorm14.76
sky 14.9 13.9 14.2
S/N 10.9 17.4 20.3
S/N(c) 9.9 16.9 19.5
SN(E/C) 0.96
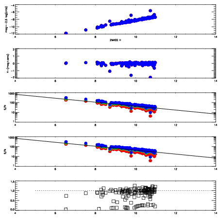
1650063
RedGreenBlue
z18.16
znorm14.67
sky 14.7 14.1 14.5
S/N 9.8 16.7 18.4
S/N(c) 9.0 16.3 17.6
SN(E/C) 0.96
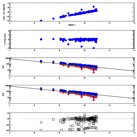
1650064
RedGreenBlue
z17.73
znorm14.23
sky 14.2 14.3 14.4
S/N 7.2 12.6 13.9
S/N(c) 6.3 12.2 13.4
SN(E/C) 0.99
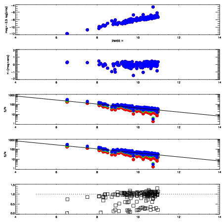
1650065
RedGreenBlue
z16.80
znorm13.30
sky 14.2 14.3 14.5
S/N 2.9 6.2 7.3
S/N(c) 2.6 5.8 6.9
SN(E/C) 1.05
1650066
RedGreenBlue
z18.29
znorm14.80
sky 14.2 14.2 14.3
S/N 11.3 18.5 20.4
S/N(c) 10.3 18.0 19.8
SN(E/C) 0.95
1650067
RedGreenBlue
z17.96
znorm14.46
sky 14.2 14.2 14.7
S/N 9.2 15.6 17.8
S/N(c) 8.3 14.7 17.1
SN(E/C) 0.97
1650068
RedGreenBlue
z17.25
znorm13.75
sky 14.6 14.1 14.6
S/N 6.1 10.8 12.6
S/N(c) 5.2 10.1 11.9
SN(E/C) 1.01
1650069
RedGreenBlue
z16.05
znorm12.56
sky 14.3 14.4 14.7
S/N 2.0 4.7 5.1
S/N(c) 1.8 4.2 4.7
SN(E/C) 1.06
1650070
RedGreenBlue
z18.29
znorm14.80
sky 14.1 14.1 14.1
S/N 11.3 18.4 20.2
S/N(c) 10.2 17.7 19.5
SN(E/C) 0.94