PLATE: 4914 MJD: 55807 FIELD: 060-04

FrameCartsec zseeingNreadsDitherPixshiftZerosky continuumS/NS/N(c)
2450033 3 1.03 1.18 47 0.00 -0.00 18.90 [14.21,14.14,14.75] [ 16.6, 23.8, 27.9] [ 15.5, 23.1, 27.1]
2450034 3 1.02 1.14 47 0.31 -0.00 19.06 [14.15,14.39,15.19] [ 17.7, 25.7, 30.0] [ 16.6, 24.9, 29.1]
2450035 3 1.02 1.19 47 0.31 -0.00 19.11 [14.25,14.35,15.34] [ 18.0, 26.3, 30.9] [ 16.8, 25.8, 30.1]
2450036 3 1.02 1.07 47 0.00 0.00 18.94 [14.42,14.36,15.55] [ 16.6, 24.6, 28.4] [ 15.4, 23.6, 27.7]

IPAIRNAMESHIFTNEWSHIFTS/N NAMESHIFTNEWSHIFTS/N
0 02450034 0.312 0.000 206.40 02450036 0.004 0.308 193.83
1 02450035 0.306 0.006 209.66 02450033 0.000 0.312 196.40

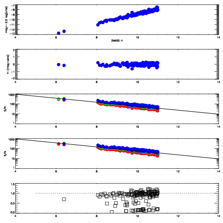
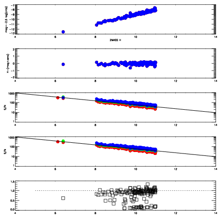
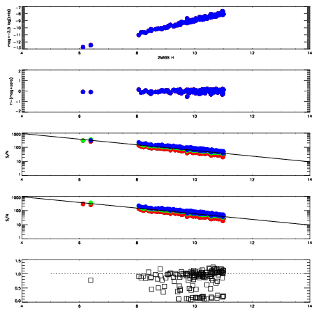
Visit (multiple exposure and dither combined) spectra

FrameZeropointsMag plots Spatial mag deviation Spatial sky 16325A emission deviations (filled: sky, open: star) Spatial sky continuum emission Spatial sky telluric CO2 absorption deviations (filled: H < 10)
2450033
RedGreenBlue
z18.90
znorm14.72
sky 14.2 14.1 14.8
S/N 16.6 23.8 27.9
S/N(c) 15.5 23.1 27.1
SN(E/C) 0.93
2450034
RedGreenBlue
z19.06
znorm14.88
sky 14.2 14.4 15.2
S/N 17.7 25.7 30.0
S/N(c) 16.6 24.9 29.1
SN(E/C) 0.91
2450035
RedGreenBlue
z19.11
znorm14.93
sky 14.3 14.3 15.3
S/N 18.0 26.3 30.9
S/N(c) 16.8 25.8 30.1
SN(E/C) 0.91
2450036
RedGreenBlue
z18.94
znorm14.76
sky 14.4 14.4 15.6
S/N 16.6 24.6 28.4
S/N(c) 15.4 23.6 27.7
SN(E/C) 0.93