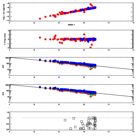
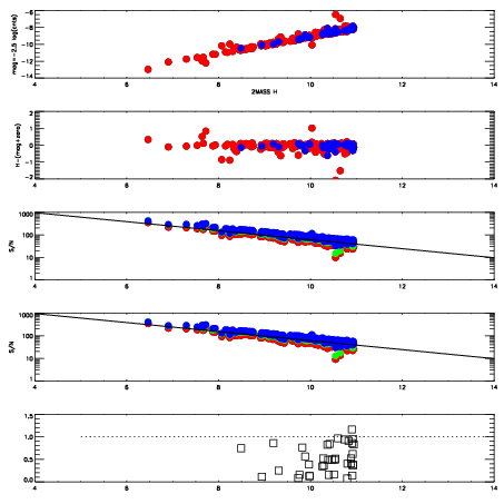
Left plots: red are targets, blue are telluric. Observed mags are calculated from median value of green chip. Zeropoint gives overall throughput: bigger number is more throughput.
First spatial plots: circles are objects, squares are tellurics, crosses are sky fibers. Colors give deviation of observed mag from expected 2MASS mag using the median zeropoint; red is brighter
Second spatial plots: circles are sky fibers. Colors give sky line brightness relative to plate median sky line brightness
FrameNreadsZeropointsMag plots Spatial mag deviation Spatial sky 16325A emission deviations (filled: sky, open: star) Spatial sky continuum emission Spatial sky telluric CO2 absorption deviations (filled: H < 10)
1600097 50
RedGreenBlue
z19.10
znorm14.85
sky 13.8 13.4 13.7
S/N 18.9 25.9 30.5
S/N(c) 17.6 24.7 29.1
SN(E/C) 0.49
1600098 50
RedGreenBlue
z19.05
znorm14.80
sky 13.8 13.5 13.8
S/N 18.4 25.8 30.2
S/N(c) 17.0 24.4 29.0
SN(E/C) 0.50
1600099 50
RedGreenBlue
z19.12
znorm14.88
sky 13.8 13.6 13.8
S/N 19.3 26.8 31.0
S/N(c) 17.7 25.4 29.6
SN(E/C) 0.50
1600100 50
RedGreenBlue
z19.14
znorm14.89
sky 13.8 13.6 13.8
S/N 19.6 27.2 31.1
S/N(c) 18.1 25.6 29.6
SN(E/C) 0.47