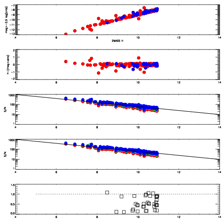
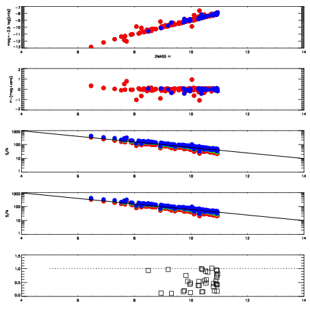
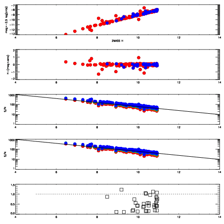
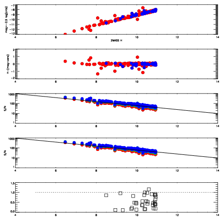
Left plots: red are targets, blue are telluric. Observed mags are calculated from median value of green chip. Zeropoint gives overall throughput: bigger number is more throughput.
First spatial plots: circles are objects, squares are tellurics, crosses are sky fibers. Colors give deviation of observed mag from expected 2MASS mag using the median zeropoint; red is brighter
Second spatial plots: circles are sky fibers. Colors give sky line brightness relative to plate median sky line brightness
FrameNreadsZeropointsMag plots Spatial mag deviation Spatial sky 16325A emission deviations (filled: sky, open: star) Spatial sky continuum emission Spatial sky telluric CO2 absorption deviations (filled: H < 10)
1660039 50
RedGreenBlue
z18.96
znorm14.71
sky 12.1 12.0 12.0
S/N 16.1 22.3 24.9
S/N(c) 14.9 20.8 23.5
SN(E/C) 0.51
1660040 50
RedGreenBlue
z19.09
znorm14.84
sky 12.2 12.1 12.1
S/N 17.4 24.1 26.6
S/N(c) 16.1 22.5 25.1
SN(E/C) 0.48
1660041 50
RedGreenBlue
z19.07
znorm14.82
sky 12.3 12.2 12.1
S/N 17.2 23.7 26.2
S/N(c) 15.8 22.4 25.0
SN(E/C) 0.44
1660042 50
RedGreenBlue
z18.98
znorm14.73
sky 12.3 12.3 12.2
S/N 16.2 22.7 25.3
S/N(c) 15.0 21.4 24.1
SN(E/C) 0.48