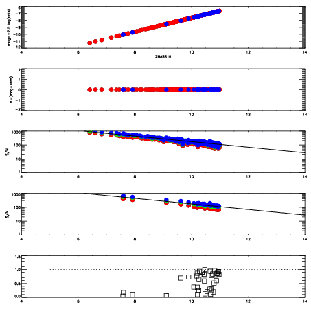
Left plots: red are targets, blue are telluric. Observed mags are calculated from median value of green chip. Zeropoint gives overall throughput: bigger number is more throughput.
First spatial plots: circles are objects, squares are tellurics, crosses are sky fibers. Colors give deviation of observed mag from expected 2MASS mag using the median zeropoint; red is brighter
Second spatial plots: circles are sky fibers. Colors give sky line brightness relative to plate median sky line brightness
FrameNreadsZeropointsMag plots Spatial mag deviation Spatial sky 16325A emission deviations (filled: sky, open: star) Spatial sky continuum emission Spatial sky telluric CO2 absorption deviations (filled: H < 10)
0 0
RedGreenBlue
z17.64
znorm Inf
sky -Inf -Inf -Inf
S/N 42.4 59.0 60.5
S/N(c) 0.0 0.0 0.0
SN(E/C) 0.69

01690034 0.00000 235.376
01690035 0.00000 237.001
01690036 0.00000 245.279
01690037 0.00000 239.203
01690038 0.00000 247.567
01690039 0.00000 245.203
01690040 0.00000 247.841
01690041 0.00000 247.534