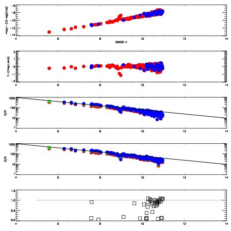
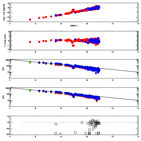
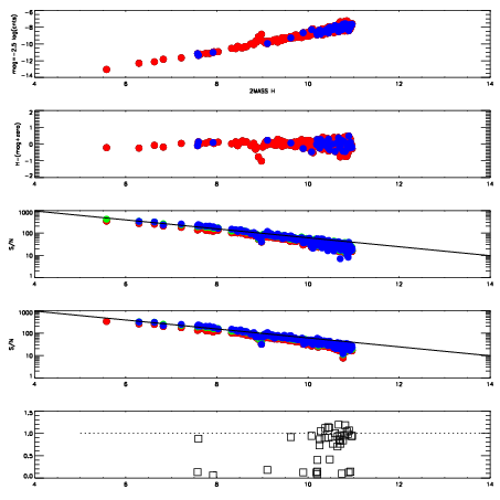
Left plots: red are targets, blue are telluric. Observed mags are calculated from median value of green chip. Zeropoint gives overall throughput: bigger number is more throughput.
First spatial plots: circles are objects, squares are tellurics, crosses are sky fibers. Colors give deviation of observed mag from expected 2MASS mag using the median zeropoint; red is brighter
Second spatial plots: circles are sky fibers. Colors give sky line brightness relative to plate median sky line brightness
FrameNreadsZeropointsMag plots Spatial mag deviation Spatial sky 16325A emission deviations (filled: sky, open: star) Spatial sky continuum emission Spatial sky telluric CO2 absorption deviations (filled: H < 10)
1660046 50
RedGreenBlue
z18.89
znorm14.64
sky 10.4 10.3 10.2
S/N 11.4 13.8 12.1
S/N(c) 10.7 13.7 14.1
SN(E/C) 0.89
1660047 50
RedGreenBlue
z18.84
znorm14.59
sky 10.4 10.3 10.2
S/N 11.0 13.9 11.6
S/N(c) 10.7 13.2 13.5
SN(E/C) 0.88
1660048 50
RedGreenBlue
z18.83
znorm14.59
sky 10.4 10.3 10.2
S/N 10.7 13.3 12.2
S/N(c) 10.5 13.2 13.4
SN(E/C) 0.88