PLATE: 4931 MJD: 55724 FIELD: 006+00

FrameCartsec zseeingNreadsDitherPixshiftZerosky continuumS/NS/N(c)
1620052 5 1.82 0.00 50 0.00 -0.00 19.03 [13.69,13.14,13.29] [ 19.4, 25.4, 29.1] [ 17.7, 24.2, 28.4]
1620053 5 1.81 0.00 50 0.00 0.00 19.09 [13.72,13.24,13.30] [ 19.8, 26.4, 29.7] [ 18.3, 24.8, 28.2]
1620054 5 1.81 0.00 50 0.00 0.00 19.11 [13.67,13.39,13.32] [ 19.9, 26.7, 28.9] [ 18.4, 25.2, 27.2]
1620055 5 1.81 0.00 50 0.00 0.00 19.11 [13.67,13.48,13.29] [ 20.0, 26.7, 28.3] [ 18.5, 25.1, 27.2]
1620056 5 1.82 0.00 50 0.00 -0.00 19.13 [13.62,13.55,13.42] [ 20.3, 27.1, 28.6] [ 18.8, 25.5, 27.6]
1620057 5 1.83 0.00 50 0.00 -0.00 19.16 [13.67,13.58,13.39] [ 20.6, 27.5, 28.9] [ 19.0, 25.9, 27.9]
1620058 5 1.85 0.00 50 0.00 -0.00 19.13 [13.75,13.66,13.44] [ 20.4, 27.2, 28.6] [ 18.8, 25.6, 27.5]
1620059 5 1.87 0.00 50 0.00 0.00 19.20 [13.67,13.59,13.40] [ 21.1, 28.1, 29.4] [ 19.4, 26.5, 28.2]
1620060 5 1.89 0.00 50 0.00 0.00 19.19 [13.60,13.59,13.40] [ 21.0, 28.0, 29.2] [ 19.4, 26.4, 28.0]
1620061 5 1.92 0.00 50 0.00 -0.00 19.20 [13.68,13.62,13.47] [ 21.1, 28.1, 29.5] [ 19.5, 26.5, 28.1]
1620062 5 1.95 0.00 50 0.00 -0.00 19.20 [13.56,13.60,13.40] [ 21.0, 28.1, 29.2] [ 19.3, 26.4, 27.8]

01620052 0.00000 252.645
01620053 0.00000 0.00000
01620054 0.00000 259.418
01620055 0.00000 259.990
01620056 0.00000 263.536
01620057 0.00000 265.791
01620058 0.00000 263.996
01620059 0.00000 271.526
01620060 0.00000 269.661
01620061 0.00000 269.680
01620062 0.00000 269.164

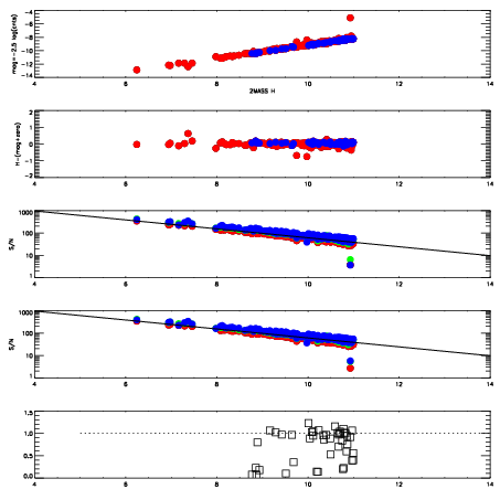
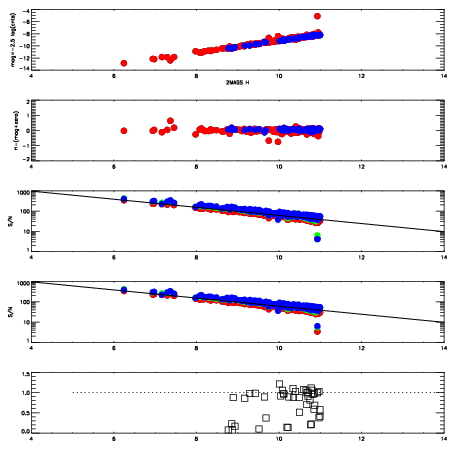
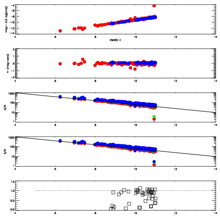
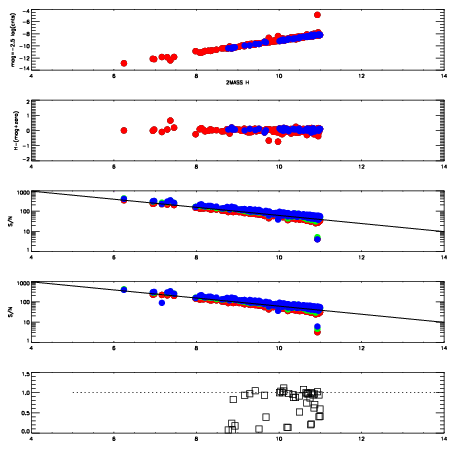
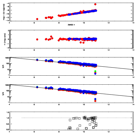
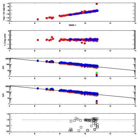
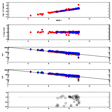
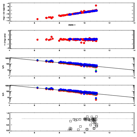
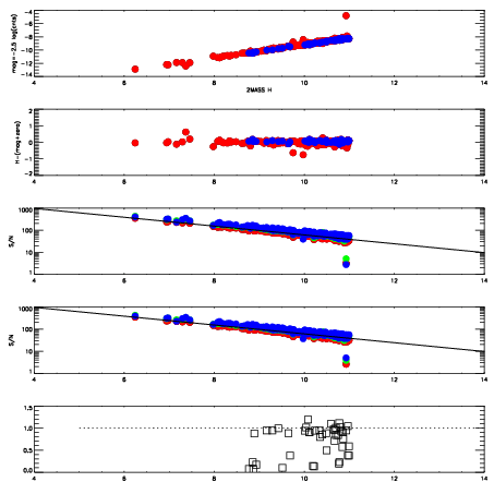
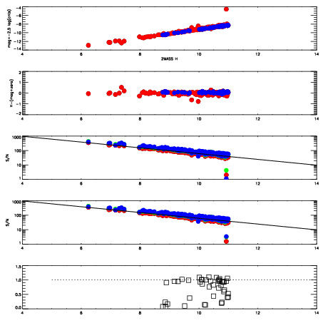
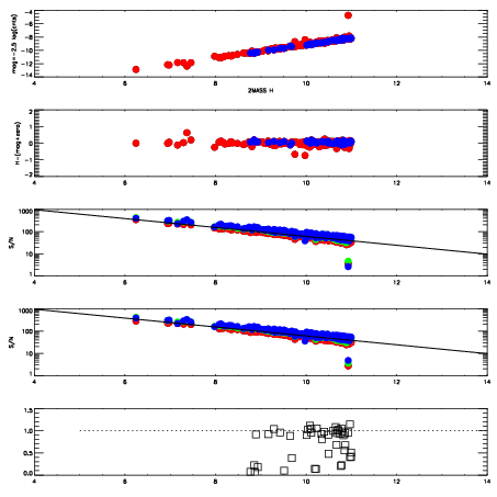
Visit (multiple exposure and dither combined) spectra

FrameZeropointsMag plots Spatial mag deviation Spatial sky 16325A emission deviations (filled: sky, open: star) Spatial sky continuum emission Spatial sky telluric CO2 absorption deviations (filled: H < 10)
1620052
RedGreenBlue
z19.03
znorm14.78
sky 13.7 13.1 13.3
S/N 19.4 25.4 29.1
S/N(c) 17.7 24.2 28.4
SN(E/C) 0.92
1620053
RedGreenBlue
z19.09
znorm14.84
sky 13.7 13.2 13.3
S/N 19.8 26.4 29.7
S/N(c) 18.3 24.8 28.2
SN(E/C) 0.93
1620054
RedGreenBlue
z19.11
znorm14.86
sky 13.7 13.4 13.3
S/N 19.9 26.7 28.9
S/N(c) 18.4 25.2 27.2
SN(E/C) 0.91
1620055
RedGreenBlue
z19.11
znorm14.86
sky 13.7 13.5 13.3
S/N 20.0 26.7 28.3
S/N(c) 18.5 25.1 27.2
SN(E/C) 0.89
1620056
RedGreenBlue
z19.13
znorm14.88
sky 13.6 13.6 13.4
S/N 20.3 27.1 28.6
S/N(c) 18.8 25.5 27.6
SN(E/C) 0.92
1620057
RedGreenBlue
z19.16
znorm14.91
sky 13.7 13.6 13.4
S/N 20.6 27.5 28.9
S/N(c) 19.0 25.9 27.9
SN(E/C) 0.88
1620058
RedGreenBlue
z19.13
znorm14.89
sky 13.7 13.7 13.4
S/N 20.4 27.2 28.6
S/N(c) 18.8 25.6 27.5
SN(E/C) 0.90
1620059
RedGreenBlue
z19.20
znorm14.95
sky 13.7 13.6 13.4
S/N 21.1 28.1 29.4
S/N(c) 19.4 26.5 28.2
SN(E/C) 0.92
1620060
RedGreenBlue
z19.19
znorm14.95
sky 13.6 13.6 13.4
S/N 21.0 28.0 29.2
S/N(c) 19.4 26.4 28.0
SN(E/C) 0.92
1620061
RedGreenBlue
z19.20
znorm14.96
sky 13.7 13.6 13.5
S/N 21.1 28.1 29.5
S/N(c) 19.5 26.5 28.1
SN(E/C) 0.87
1620062
RedGreenBlue
z19.20
znorm14.95
sky 13.6 13.6 13.4
S/N 21.0 28.1 29.2
S/N(c) 19.3 26.4 27.8
SN(E/C) 0.92