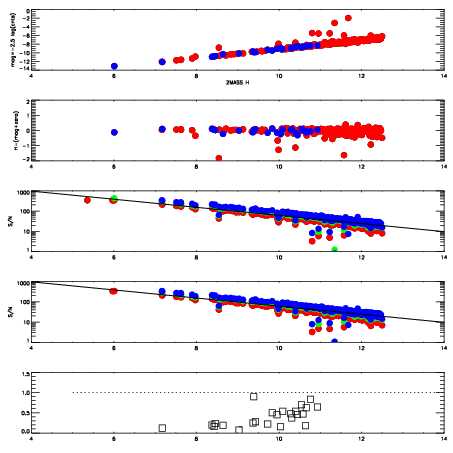
| Frame | Nreads | Zeropoints | Mag plots
| Spatial mag deviation
| Spatial sky 16325A emission deviations (filled: sky, open: star)
| Spatial sky continuum emission
| Spatial sky telluric CO2 absorption deviations (filled: H < 10)
|
| 1660010
| 50
| | Red | Green | Blue
| | z | | 19.17
| | znorm | | 14.92
| | sky | 14.1 | 13.7 | 13.7
| | S/N | 16.7 | 25.9 | 28.5
| | S/N(c) | 14.6 | 23.9 | 27.0
| | SN(E/C) | 0.41
|
|
|
|
|
|
|
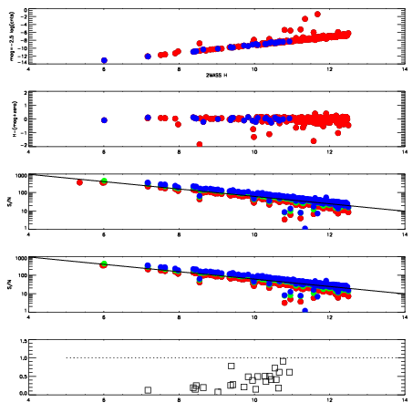
| 1660011
| 50
| | Red | Green | Blue
| | z | | 19.17
| | znorm | | 14.92
| | sky | 14.1 | 13.9 | 13.9
| | S/N | 16.3 | 25.7 | 28.2
| | S/N(c) | 14.3 | 24.0 | 26.8
| | SN(E/C) | 0.40
|
|
|
|
|
|
|
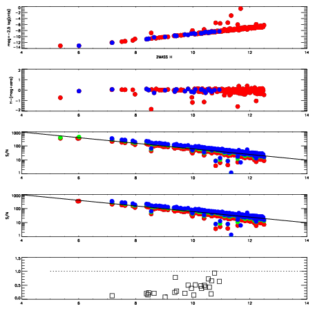
| 1660012
| 50
| | Red | Green | Blue
| | z | | 19.17
| | znorm | | 14.93
| | sky | 13.9 | 13.9 | 14.0
| | S/N | 16.0 | 26.1 | 28.4
| | S/N(c) | 14.3 | 23.9 | 26.9
| | SN(E/C) | 0.45
|
|
|
|
|
|
|
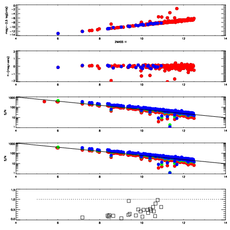
| 1660013
| 50
| | Red | Green | Blue
| | z | | 19.17
| | znorm | | 14.92
| | sky | 14.2 | 14.0 | 14.1
| | S/N | 16.4 | 26.1 | 28.5
| | S/N(c) | 14.3 | 24.1 | 27.0
| | SN(E/C) | 0.39
|
|
|
|
|
|
|
| 1660014
| 50
| | Red | Green | Blue
| | z | | 19.16
| | znorm | | 14.91
| | sky | 14.2 | 14.2 | 14.2
| | S/N | 16.2 | 25.9 | 28.3
| | S/N(c) | 14.3 | 23.4 | 26.8
| | SN(E/C) | 0.39
|
|
|
|
|
|
|
| 1660015
| 50
| | Red | Green | Blue
| | z | | 19.16
| | znorm | | 14.91
| | sky | 14.2 | 14.3 | 14.1
| | S/N | 16.4 | 26.2 | 28.2
| | S/N(c) | 14.5 | 23.8 | 26.9
| | SN(E/C) | 0.41
|
|
|
|
|
|
|