PLATE: 4938 MJD: 55731 FIELD: 090+04

FrameCartsec zseeingNreadsDitherPixshiftZerosky continuumS/NS/N(c)
1690060 4 1.05 1.39 50 0.00 -0.00 18.97 [14.23,13.95,14.02] [ 14.1, 22.7, 25.4] [ 12.8, 22.1, 24.0]
1690061 4 1.05 1.58 50 0.00 -0.00 18.92 [14.32,14.23,14.43] [ 13.8, 21.6, 24.6] [ 12.5, 20.8, 23.3]
1690062 4 1.06 1.53 50 0.00 -0.00 18.98 [14.26,14.25,14.33] [ 14.7, 23.0, 25.4] [ 13.0, 21.8, 24.0]
1690063 4 1.06 1.54 50 0.00 -0.00 18.92 [14.51,14.24,14.45] [ 14.0, 22.0, 24.1] [ 12.6, 21.1, 23.0]
1690064 4 1.06 1.87 50 0.00 0.00 18.83 [14.45,14.20,14.48] [ 13.4, 21.9, 23.3] [ 11.7, 19.9, 21.8]
1690065 4 1.07 1.79 50 0.00 0.00 18.85 [14.35,14.21,14.50] [ 13.6, 21.9, 23.3] [ 11.9, 20.2, 22.6]
1690066 4 1.08 1.73 50 0.00 -0.00 18.94 [14.23,14.13,14.21] [ 14.1, 22.6, 24.2] [ 12.5, 20.9, 23.0]

01690060 0.00000 229.592
01690061 0.00000 223.040
01690062 0.00000 227.844
01690063 0.00000 220.271
01690064 0.00000 212.101
01690065 0.00000 211.993
01690066 0.00000 217.453

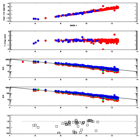
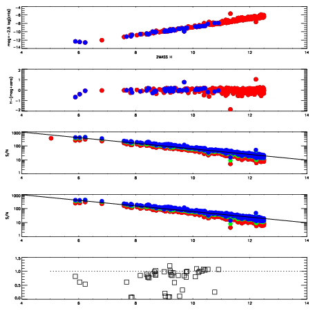
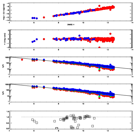
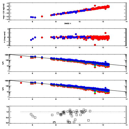
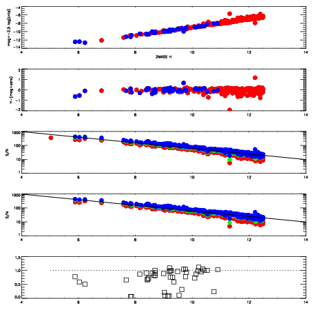
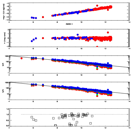
Visit (multiple exposure and dither combined) spectra

FrameZeropointsMag plots Spatial mag deviation Spatial sky 16325A emission deviations (filled: sky, open: star) Spatial sky continuum emission Spatial sky telluric CO2 absorption deviations (filled: H < 10)
1690060
RedGreenBlue
z18.97
znorm14.72
sky 14.2 13.9 14.0
S/N 14.1 22.7 25.4
S/N(c) 12.8 22.1 24.0
SN(E/C) 0.82
1690061
RedGreenBlue
z18.92
znorm14.67
sky 14.3 14.2 14.4
S/N 13.8 21.6 24.6
S/N(c) 12.5 20.8 23.3
SN(E/C) 0.87
1690062
RedGreenBlue
z18.98
znorm14.74
sky 14.3 14.3 14.3
S/N 14.7 23.0 25.4
S/N(c) 13.0 21.8 24.0
SN(E/C) 0.83
1690063
RedGreenBlue
z18.92
znorm14.67
sky 14.5 14.2 14.4
S/N 14.0 22.0 24.1
S/N(c) 12.6 21.1 23.0
SN(E/C) 0.86
1690064
RedGreenBlue
z18.83
znorm14.58
sky 14.5 14.2 14.5
S/N 13.4 21.9 23.3
S/N(c) 11.7 19.9 21.8
SN(E/C) 0.85
1690065
RedGreenBlue
z18.85
znorm14.60
sky 14.3 14.2 14.5
S/N 13.6 21.9 23.3
S/N(c) 11.9 20.2 22.6
SN(E/C) 0.85
1690066
RedGreenBlue
z18.94
znorm14.69
sky 14.2 14.1 14.2
S/N 14.1 22.6 24.2
S/N(c) 12.5 20.9 23.0
SN(E/C) 0.85