PLATE: 4938 MJD: 55733 FIELD: 090+04

FrameCartsec zseeingNreadsDitherPixshiftZerosky continuumS/NS/N(c)
1710089 4 1.06 1.60 50 0.00 -0.00 18.94 [14.54,14.24,14.19] [ 14.1, 21.2, 24.1] [ 12.8, 20.6, 23.5]
1710090 4 1.06 1.58 50 0.00 0.00 18.91 [14.36,14.35,14.63] [ 13.4, 21.3, 24.7] [ 12.0, 19.9, 24.0]
1710091 4 1.07 1.59 50 0.00 -0.00 18.75 [14.47,14.49,14.68] [ 12.0, 19.6, 21.9] [ 10.6, 18.3, 21.2]
1710092 4 1.07 1.68 50 0.00 0.00 18.72 [14.49,14.35,14.77] [ 11.6, 18.9, 21.9] [ 10.4, 18.2, 21.2]
1710093 4 1.08 1.80 50 0.00 0.00 18.70 [14.51,14.38,14.63] [ 11.7, 18.9, 21.3] [ 10.4, 18.0, 20.7]
1710094 4 1.09 2.15 50 0.00 0.00 18.72 [13.46,13.30,13.25] [ 11.3, 17.1, 19.5] [ 10.6, 16.1, 19.1]

01710089 0.00000 227.026
01710090 0.00000 221.483
01710091 0.00000 208.520
01710092 0.00000 203.557
01710093 0.00000 199.866
01710094 0.00000 200.168

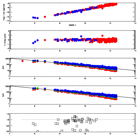
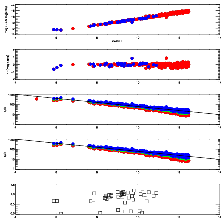
Visit (multiple exposure and dither combined) spectra

FrameZeropointsMag plots Spatial mag deviation Spatial sky 16325A emission deviations (filled: sky, open: star) Spatial sky continuum emission Spatial sky telluric CO2 absorption deviations (filled: H < 10)
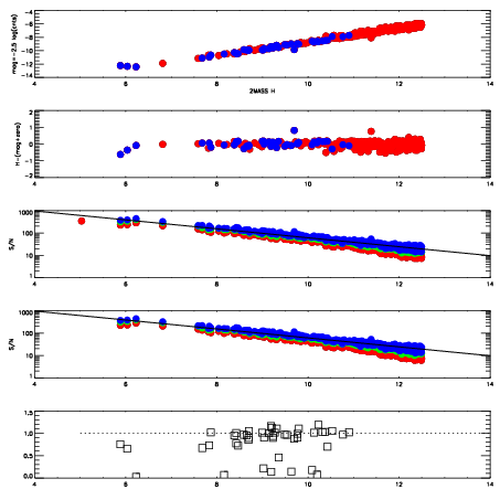
1710089
RedGreenBlue
z18.94
znorm14.69
sky 14.5 14.2 14.2
S/N 14.1 21.2 24.1
S/N(c) 12.8 20.6 23.5
SN(E/C) 0.90
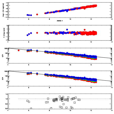
1710090
RedGreenBlue
z18.91
znorm14.66
sky 14.4 14.3 14.6
S/N 13.4 21.3 24.7
S/N(c) 12.0 19.9 24.0
SN(E/C) 0.87
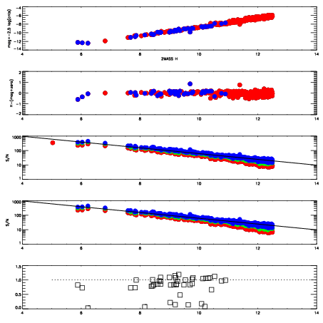
1710091
RedGreenBlue
z18.75
znorm14.51
sky 14.5 14.5 14.7
S/N 12.0 19.6 21.9
S/N(c) 10.6 18.3 21.2
SN(E/C) 0.90
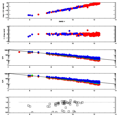
1710092
RedGreenBlue
z18.72
znorm14.47
sky 14.5 14.4 14.8
S/N 11.6 18.9 21.9
S/N(c) 10.4 18.2 21.2
SN(E/C) 0.95
1710093
RedGreenBlue
z18.70
znorm14.45
sky 14.5 14.4 14.6
S/N 11.7 18.9 21.3
S/N(c) 10.4 18.0 20.7
SN(E/C) 0.85
1710094
RedGreenBlue
z18.72
znorm14.47
sky 13.5 13.3 13.2
S/N 11.3 17.1 19.5
S/N(c) 10.6 16.1 19.1
SN(E/C) 0.92