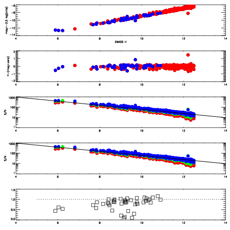
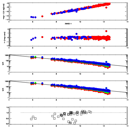
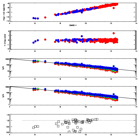
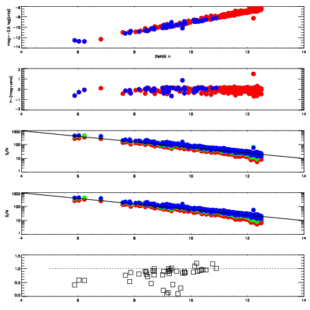
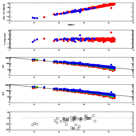
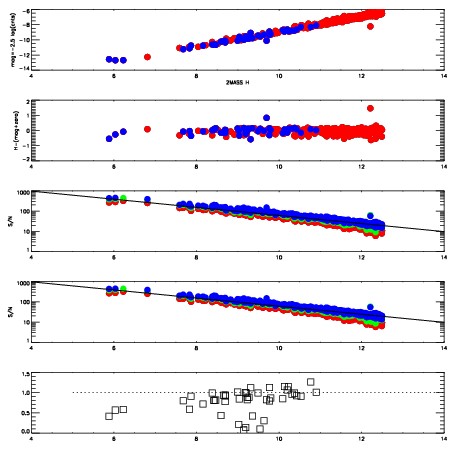
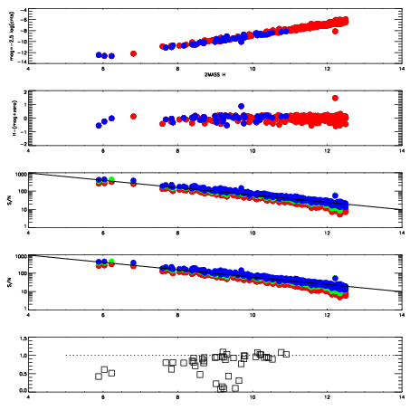
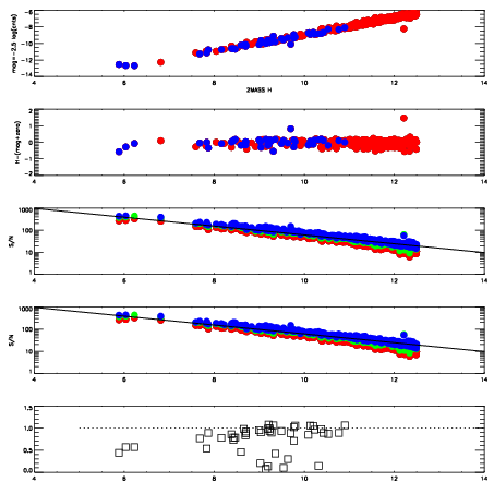
Frame | Nreads | Zeropoints | Mag plots
| Spatial mag deviation
| Spatial sky 16325A emission deviations (filled: sky, open: star)
| Spatial sky continuum emission
| Spatial sky telluric CO2 absorption deviations (filled: H < 10)
|
1960061
| 50
| | Red | Green | Blue
| z | | 18.98
| znorm | | 14.74
| sky | 14.4 | 14.2 | 14.2
| S/N | 14.9 | 22.5 | 24.5
| S/N(c) | 13.4 | 21.3 | 23.3
| SN(E/C) | 0.88
|
|
|
|
|
|
|
1960062
| 50
| | Red | Green | Blue
| z | | 18.96
| znorm | | 14.71
| sky | 14.5 | 14.1 | 14.4
| S/N | 14.6 | 22.4 | 24.2
| S/N(c) | 13.1 | 21.3 | 23.0
| SN(E/C) | 0.88
|
|
|
|
|
|
|
1960063
| 50
| | Red | Green | Blue
| z | | 18.98
| znorm | | 14.73
| sky | 14.3 | 14.3 | 14.3
| S/N | 14.8 | 22.8 | 24.3
| S/N(c) | 13.4 | 21.3 | 23.1
| SN(E/C) | 0.86
|
|
|
|
|
|
|
1960064
| 50
| | Red | Green | Blue
| z | | 18.98
| znorm | | 14.73
| sky | 14.5 | 14.2 | 14.4
| S/N | 14.5 | 22.4 | 24.2
| S/N(c) | 13.3 | 21.2 | 22.7
| SN(E/C) | 0.87
|
|
|
|
|
|
|
1960065
| 50
| | Red | Green | Blue
| z | | 18.96
| znorm | | 14.71
| sky | 14.3 | 14.3 | 14.3
| S/N | 14.6 | 22.6 | 24.2
| S/N(c) | 13.1 | 21.2 | 22.7
| SN(E/C) | 0.84
|
|
|
|
|
|
|
1960066
| 50
| | Red | Green | Blue
| z | | 18.95
| znorm | | 14.70
| sky | 14.5 | 14.4 | 14.4
| S/N | 14.3 | 22.5 | 23.8
| S/N(c) | 12.9 | 21.1 | 22.6
| SN(E/C) | 0.85
|
|
|
|
|
|
|
1960067
| 50
| | Red | Green | Blue
| z | | 18.99
| znorm | | 14.74
| sky | 14.4 | 14.2 | 14.3
| S/N | 15.0 | 23.5 | 24.4
| S/N(c) | 13.4 | 22.0 | 23.2
| SN(E/C) | 0.88
|
|
|
|
|
|
|
1960068
| 50
| | Red | Green | Blue
| z | | 19.01
| znorm | | 14.76
| sky | 14.6 | 14.2 | 14.3
| S/N | 15.0 | 23.3 | 24.6
| S/N(c) | 13.7 | 22.3 | 23.5
| SN(E/C) | 0.87
|
|
|
|
|
|
|
1960069
| 50
| | Red | Green | Blue
| z | | 18.88
| znorm | | 14.63
| sky | 14.3 | 14.3 | 14.2
| S/N | 13.4 | 21.7 | 22.7
| S/N(c) | 12.3 | 20.6 | 21.8
| SN(E/C) | 0.89
|
|
|
|
|
|
|