PLATE: 4940 MJD: 55727 FIELD: 090-04

FrameCartsec zseeingNreadsDitherPixshiftZerosky continuumS/NS/N(c)
1650076 4 1.06 1.42 25 0.00 0.00 18.17 [14.52,13.76,14.05] [ 7.2, 13.0, 15.3] [ 6.3, 12.3, 14.5]
1650077 4 1.06 1.40 25 0.00 0.00 18.12 [14.28,13.84,14.07] [ 6.7, 13.0, 14.2] [ 5.9, 12.3, 13.6]
1650078 4 1.05 1.38 25 0.00 -0.00 17.46 [14.17,14.14,14.43] [ 4.5, 9.1, 10.2] [ 3.9, 8.7, 9.3]
1650079 4 1.05 1.47 25 0.00 0.00 16.40 [14.70,14.25,14.69] [ 1.8, 4.0, 5.7] [ 1.5, 3.7, 5.0]
1650080 4 1.05 1.46 25 0.00 -0.00 18.25 [14.33,14.07,14.05] [ 7.3, 14.7, 14.9] [ 6.2, 13.4, 14.2]
1650081 4 1.04 1.37 25 0.00 0.00 17.81 [14.14,14.07,14.24] [ 4.8, 9.7, 11.6] [ 4.3, 9.2, 11.0]
1650082 4 1.04 1.43 25 0.00 -0.00 17.08 [14.16,14.28,14.79] [ 2.5, 5.4, 7.8] [ 2.3, 5.0, 7.2]
1650083 4 1.04 1.40 25 0.00 0.00 15.99 [14.33,14.48,14.47] [ 0.9, 2.5, 3.0] [ 0.8, 2.3, 2.8]
1650084 4 1.03 1.35 25 0.00 -0.00 18.20 [13.87,14.19,14.04] [ 7.1, 14.3, 14.1] [ 6.2, 13.3, 13.4]
1650085 4 1.03 1.46 50 0.00 0.00 18.96 [14.21,14.12,14.08] [ 14.7, 23.5, 25.4] [ 12.9, 21.8, 24.8]
1650086 4 1.03 1.45 50 0.00 -0.00 18.98 [14.28,14.11,14.15] [ 14.7, 23.6, 25.8] [ 12.9, 22.1, 25.2]
1650087 4 1.03 1.55 50 0.00 0.00 18.99 [14.04,14.08,14.07] [ 14.2, 22.8, 25.2] [ 12.1, 21.0, 24.5]
1650088 4 1.03 1.49 50 0.00 -0.00 19.02 [14.04,14.14,14.09] [ 14.6, 23.5, 26.0] [ 13.1, 22.1, 25.3]
1650089 4 1.03 1.55 50 0.00 -0.00 19.01 [14.04,14.02,14.01] [ 14.3, 22.9, 25.3] [ 13.0, 21.5, 24.8]
1650090 4 1.03 1.51 50 0.00 0.00 19.03 [13.81,13.74,13.56] [ 14.6, 23.3, 25.0] [ 13.1, 21.8, 24.3]

01650076 0.00000 200.939
01650077 0.00000 200.632
01650078 0.00000 165.510
01650079 0.00000 129.212
01650080 0.00000 199.681
01650081 0.00000 165.039
01650082 0.00000 109.386
01650083 0.00000 61.1198
01650084 0.00000 195.193
01650085 0.00000 271.669
01650086 0.00000 273.269
01650087 0.00000 275.390
01650088 0.00000 282.803
01650089 0.00000 283.115
01650090 0.00000 289.739

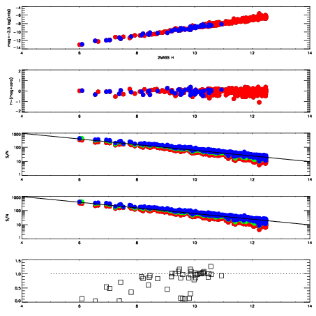
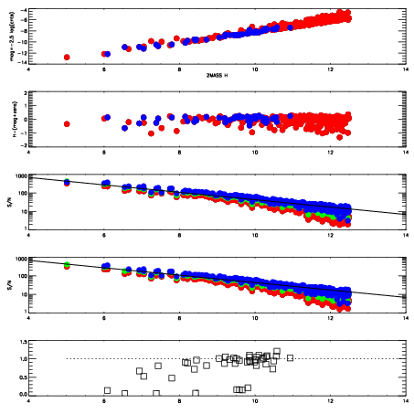
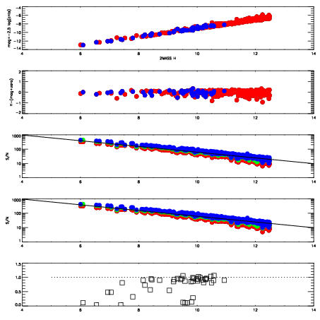
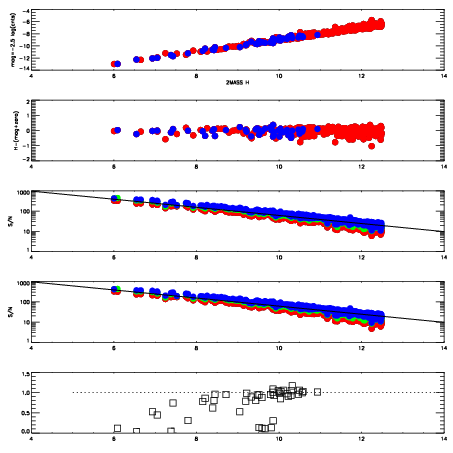
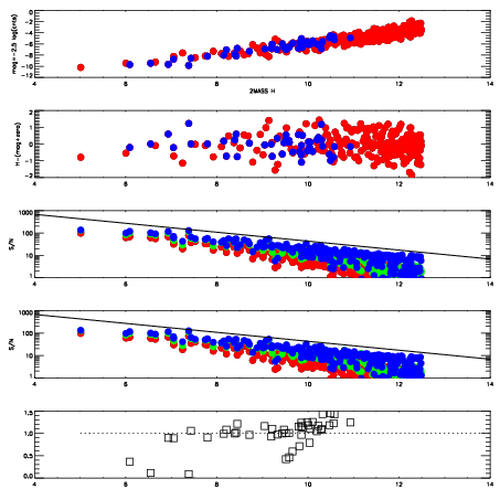
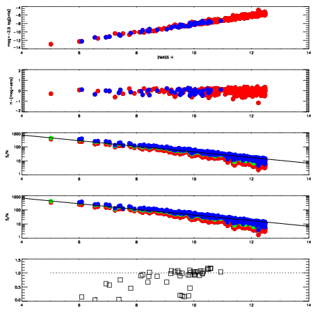
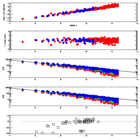
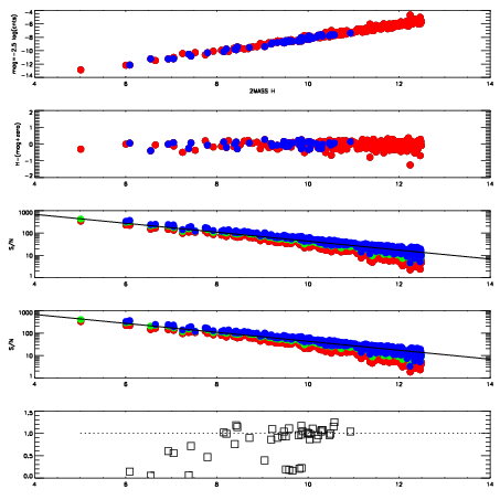
Visit (multiple exposure and dither combined) spectra

FrameZeropointsMag plots Spatial mag deviation Spatial sky 16325A emission deviations (filled: sky, open: star) Spatial sky continuum emission Spatial sky telluric CO2 absorption deviations (filled: H < 10)
1650076
RedGreenBlue
z18.17
znorm14.68
sky 14.5 13.8 14.0
S/N 7.2 13.0 15.3
S/N(c) 6.3 12.3 14.5
SN(E/C) 0.96
1650077
RedGreenBlue
z18.12
znorm14.62
sky 14.3 13.8 14.1
S/N 6.7 13.0 14.2
S/N(c) 5.9 12.3 13.6
SN(E/C) 0.91
1650078
RedGreenBlue
z17.46
znorm13.97
sky 14.2 14.1 14.4
S/N 4.5 9.1 10.2
S/N(c) 3.9 8.7 9.3
SN(E/C) 0.95
1650079
RedGreenBlue
z16.40
znorm12.90
sky 14.7 14.3 14.7
S/N 1.8 4.0 5.7
S/N(c) 1.5 3.7 5.0
SN(E/C) 0.96
1650080
RedGreenBlue
z18.25
znorm14.75
sky 14.3 14.1 14.0
S/N 7.3 14.7 14.9
S/N(c) 6.2 13.4 14.2
SN(E/C) 0.95
1650081
RedGreenBlue
z17.81
znorm14.32
sky 14.1 14.1 14.2
S/N 4.8 9.7 11.6
S/N(c) 4.3 9.2 11.0
SN(E/C) 0.95
1650082
RedGreenBlue
z17.08
znorm13.58
sky 14.2 14.3 14.8
S/N 2.5 5.4 7.8
S/N(c) 2.3 5.0 7.2
SN(E/C) 0.99
1650083
RedGreenBlue
z15.99
znorm12.49
sky 14.3 14.5 14.5
S/N 0.9 2.5 3.0
S/N(c) 0.8 2.3 2.8
SN(E/C) 1.06
1650084
RedGreenBlue
z18.20
znorm14.71
sky 13.9 14.2 14.0
S/N 7.1 14.3 14.1
S/N(c) 6.2 13.3 13.4
SN(E/C) 0.94
1650085
RedGreenBlue
z18.96
znorm14.71
sky 14.2 14.1 14.1
S/N 14.7 23.5 25.4
S/N(c) 12.9 21.8 24.8
SN(E/C) 0.90
1650086
RedGreenBlue
z18.98
znorm14.74
sky 14.3 14.1 14.1
S/N 14.7 23.6 25.8
S/N(c) 12.9 22.1 25.2
SN(E/C) 0.89
1650087
RedGreenBlue
z18.99
znorm14.74
sky 14.0 14.1 14.1
S/N 14.2 22.8 25.2
S/N(c) 12.1 21.0 24.5
SN(E/C) 0.89
1650088
RedGreenBlue
z19.02
znorm14.77
sky 14.0 14.1 14.1
S/N 14.6 23.5 26.0
S/N(c) 13.1 22.1 25.3
SN(E/C) 0.91
1650089
RedGreenBlue
z19.01
znorm14.77
sky 14.0 14.0 14.0
S/N 14.3 22.9 25.3
S/N(c) 13.0 21.5 24.8
SN(E/C) 0.91
1650090
RedGreenBlue
z19.03
znorm14.79
sky 13.8 13.7 13.6
S/N 14.6 23.3 25.0
S/N(c) 13.1 21.8 24.3
SN(E/C) 0.89