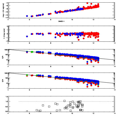
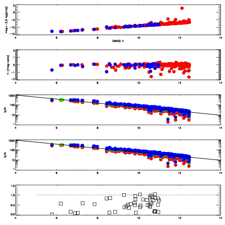
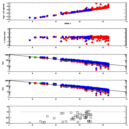
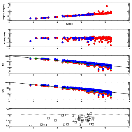
| Frame | Nreads | Zeropoints | Mag plots
| Spatial mag deviation
| Spatial sky 16325A emission deviations (filled: sky, open: star)
| Spatial sky continuum emission
| Spatial sky telluric CO2 absorption deviations (filled: H < 10)
|
| 3070008
| 47
| | Red | Green | Blue
| | z | | 19.07
| | znorm | | 14.89
| | sky | 14.4 | 14.1 | 14.0
| | S/N | 15.8 | 25.7 | 26.7
| | S/N(c) | 13.9 | 24.7 | 26.0
| | SN(E/C) | 0.54
|
|
|
|
|
|
|
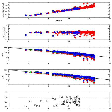
| 3070009
| 47
| | Red | Green | Blue
| | z | | 19.02
| | znorm | | 14.84
| | sky | 14.7 | 14.4 | 14.4
| | S/N | 15.1 | 24.9 | 26.3
| | S/N(c) | 13.1 | 23.4 | 25.5
| | SN(E/C) | 0.54
|
|
|
|
|
|
|
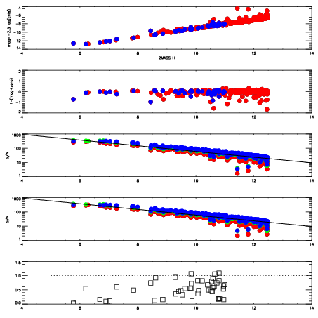
| 3070010
| 47
| | Red | Green | Blue
| | z | | 19.12
| | znorm | | 14.94
| | sky | 14.4 | 14.4 | 14.4
| | S/N | 15.7 | 26.0 | 27.8
| | S/N(c) | 13.5 | 24.3 | 26.8
| | SN(E/C) | 0.51
|
|
|
|
|
|
|
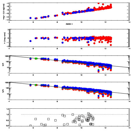
| 3070011
| 47
| | Red | Green | Blue
| | z | | 19.12
| | znorm | | 14.94
| | sky | 14.6 | 14.3 | 14.4
| | S/N | 15.8 | 26.2 | 28.0
| | S/N(c) | 13.7 | 24.5 | 26.8
| | SN(E/C) | 0.51
|
|
|
|
|
|
|
| 3070012
| 47
| | Red | Green | Blue
| | z | | 19.08
| | znorm | | 14.90
| | sky | 14.2 | 14.2 | 14.2
| | S/N | 15.0 | 25.3 | 26.9
| | S/N(c) | 13.0 | 23.6 | 25.7
| | SN(E/C) | 0.54
|
|
|
|
|
|
|
| 3070013
| 47
| | Red | Green | Blue
| | z | | 19.10
| | znorm | | 14.92
| | sky | 14.3 | 14.2 | 14.1
| | S/N | 15.4 | 25.9 | 27.7
| | S/N(c) | 13.2 | 23.6 | 25.9
| | SN(E/C) | 0.54
|
|
|
|
|
|
|
| 3070014
| 47
| | Red | Green | Blue
| | z | | 19.10
| | znorm | | 14.91
| | sky | 14.4 | 14.3 | 14.4
| | S/N | 15.5 | 26.1 | 27.9
| | S/N(c) | 13.5 | 23.8 | 26.2
| | SN(E/C) | 0.55
|
|
|
|
|
|
|
| 3070015
| 47
| | Red | Green | Blue
| | z | | 19.08
| | znorm | | 14.90
| | sky | 14.2 | 14.2 | 14.3
| | S/N | 15.5 | 26.0 | 27.8
| | S/N(c) | 13.4 | 23.7 | 26.1
| | SN(E/C) | 0.55
|
|
|
|
|
|
|