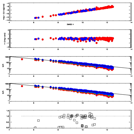
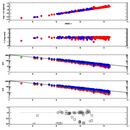
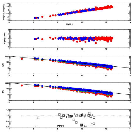
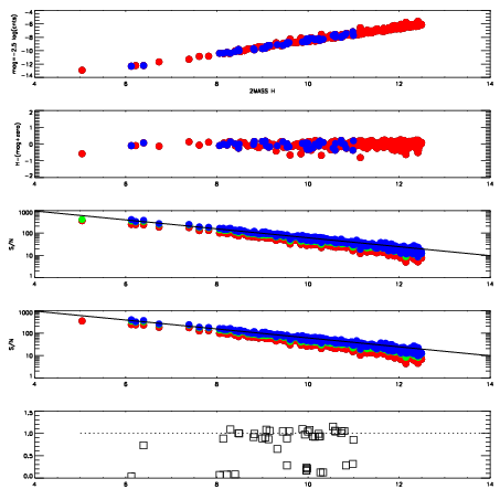
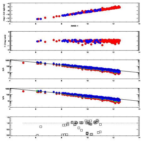
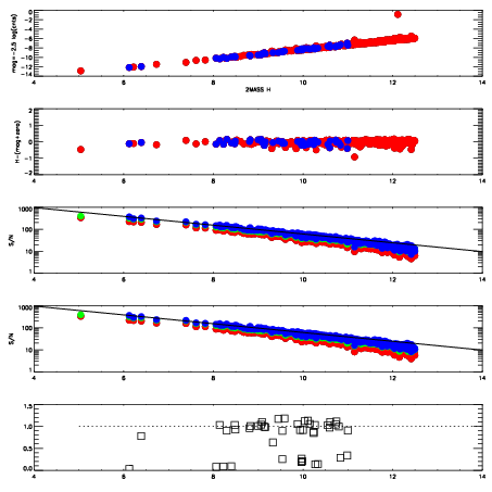
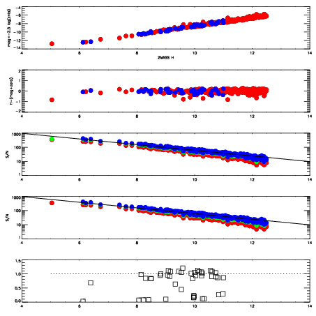
| Frame | Nreads | Zeropoints | Mag plots
| Spatial mag deviation
| Spatial sky 16325A emission deviations (filled: sky, open: star)
| Spatial sky continuum emission
| Spatial sky telluric CO2 absorption deviations (filled: H < 10)
|
| 1700038
| 50
| | Red | Green | Blue
| | z | | 18.53
| | znorm | | 14.29
| | sky | 14.2 | 13.9 | 13.7
| | S/N | 10.2 | 16.5 | 17.2
| | S/N(c) | 8.8 | 15.1 | 17.1
| | SN(E/C) | 0.92
|
|
|
|
|
|
|
| 1700039
| 50
| | Red | Green | Blue
| | z | | 18.63
| | znorm | | 14.38
| | sky | 14.0 | 13.8 | 13.8
| | S/N | 10.9 | 17.5 | 19.0
| | S/N(c) | 9.6 | 16.2 | 18.5
| | SN(E/C) | 0.90
|
|
|
|
|
|
|
| 1700040
| 50
| | Red | Green | Blue
| | z | | 18.69
| | znorm | | 14.44
| | sky | 14.2 | 13.8 | 13.8
| | S/N | 11.4 | 18.2 | 19.2
| | S/N(c) | 9.9 | 16.9 | 19.2
| | SN(E/C) | 0.92
|
|
|
|
|
|
|
| 1700041
| 50
| | Red | Green | Blue
| | z | | 18.78
| | znorm | | 14.54
| | sky | 14.1 | 13.9 | 13.8
| | S/N | 11.9 | 19.6 | 19.9
| | S/N(c) | 10.3 | 17.8 | 19.9
| | SN(E/C) | 0.92
|
|
|
|
|
|
|
| 1700042
| 50
| | Red | Green | Blue
| | z | | 18.67
| | znorm | | 14.42
| | sky | 14.1 | 13.9 | 13.8
| | S/N | 11.1 | 17.7 | 18.7
| | S/N(c) | 9.6 | 16.3 | 18.4
| | SN(E/C) | 0.91
|
|
|
|
|
|
|
| 1700043
| 50
| | Red | Green | Blue
| | z | | 18.37
| | znorm | | 14.12
| | sky | 14.1 | 14.0 | 14.0
| | S/N | 8.8 | 14.4 | 15.0
| | S/N(c) | 7.6 | 13.7 | 15.3
| | SN(E/C) | 0.93
|
|
|
|
|
|
|
| 1700044
| 50
| | Red | Green | Blue
| | z | | 18.58
| | znorm | | 14.33
| | sky | 14.3 | 14.0 | 13.8
| | S/N | 10.1 | 16.7 | 17.1
| | S/N(c) | 8.8 | 15.6 | 17.0
| | SN(E/C) | 0.95
|
|
|
|
|
|
|