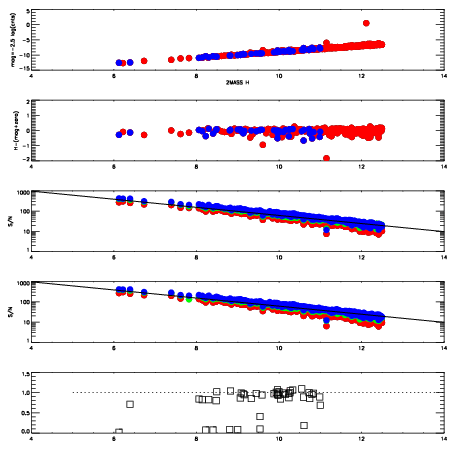
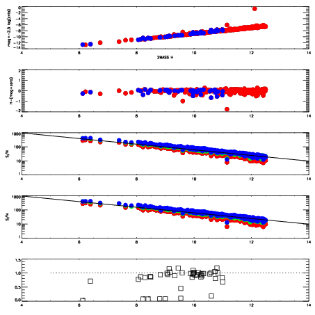
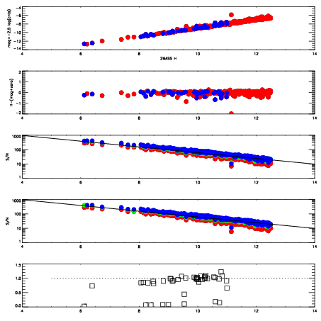
Left plots: red are targets, blue are telluric. Observed mags are calculated from median value of green chip. Zeropoint gives overall throughput: bigger number is more throughput.
First spatial plots: circles are objects, squares are tellurics, crosses are sky fibers. Colors give deviation of observed mag from expected 2MASS mag using the median zeropoint; red is brighter
Second spatial plots: circles are sky fibers. Colors give sky line brightness relative to plate median sky line brightness
FrameNreadsZeropointsMag plots Spatial mag deviation Spatial sky 16325A emission deviations (filled: sky, open: star) Spatial sky continuum emission Spatial sky telluric CO2 absorption deviations (filled: H < 10)
1960051 50
RedGreenBlue
z19.01
znorm14.76
sky 14.4 14.1 13.6
S/N 14.8 22.8 22.3
S/N(c) 13.0 21.2 22.7
SN(E/C) 0.88
1960052 50
RedGreenBlue
z18.92
znorm14.68
sky 14.2 14.0 13.8
S/N 14.1 21.8 21.9
S/N(c) 12.2 20.4 21.7
SN(E/C) 0.93
1960053 50
RedGreenBlue
z18.99
znorm14.75
sky 14.2 14.2 13.9
S/N 14.4 22.7 22.9
S/N(c) 12.8 21.2 23.0
SN(E/C) 0.89
1960054 50
RedGreenBlue
z19.00
znorm14.76
sky 14.4 14.2 13.9
S/N 14.7 23.1 23.2
S/N(c) 13.1 21.5 22.9
SN(E/C) 0.95
1960055 50
RedGreenBlue
z18.97
znorm14.72
sky 14.3 14.3 14.0
S/N 14.4 22.5 22.7
S/N(c) 12.8 20.9 22.6
SN(E/C) 0.94
1960056 50
RedGreenBlue
z19.00
znorm14.75
sky 14.4 14.3 13.9
S/N 14.7 23.1 23.2
S/N(c) 12.9 21.5 23.0
SN(E/C) 0.94
1960057 50
RedGreenBlue
z19.02
znorm14.77
sky 14.1 14.2 13.9
S/N 14.8 23.0 23.2
S/N(c) 13.3 21.5 23.1
SN(E/C) 0.92