PLATE: 4945 MJD: 55728 FIELD: 060+04

FrameCartsec zseeingNreadsDitherPixshiftZerosky continuumS/NS/N(c)
1660052 6 1.01 1.18 50 0.00 -0.00 19.08 [14.17,13.91,13.69] [ 15.5, 23.7, 28.6] [ 14.1, 22.5, 27.6]
1660053 6 1.01 1.14 50 0.00 0.00 19.02 [14.21,13.97,13.96] [ 14.9, 23.1, 27.3] [ 13.4, 21.9, 26.5]
1660054 6 1.01 1.49 50 0.00 0.00 19.03 [14.18,13.99,13.92] [ 15.1, 23.3, 26.8] [ 13.4, 21.7, 26.1]
1660055 6 1.01 1.36 50 0.00 -0.00 19.00 [14.13,14.01,13.96] [ 14.7, 22.9, 26.3] [ 13.4, 21.7, 25.3]
1660056 6 1.01 1.32 50 0.00 -0.00 19.05 [14.05,14.07,13.97] [ 15.1, 23.7, 26.2] [ 13.9, 22.2, 25.3]
1660057 6 1.01 1.21 50 0.00 -0.00 18.83 [13.77,13.75,13.70] [ 12.4, 20.4, 22.9] [ 11.3, 18.6, 22.4]
1660058 6 1.01 1.26 50 0.00 -0.00 19.05 [14.15,14.13,14.01] [ 14.9, 24.0, 25.9] [ 13.7, 22.0, 25.2]

01660052 0.00000 176.835
01660053 0.00000 195.178
01660054 0.00000 0.0153728
01660055 0.00000 191.366
01660056 0.00000 179.515
01660057 0.00000 0.00000
01660058 0.00000 0.00000

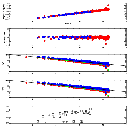
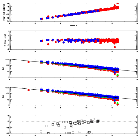
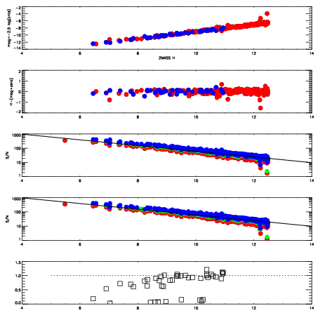
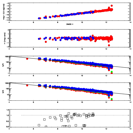
Visit (multiple exposure and dither combined) spectra

FrameZeropointsMag plots Spatial mag deviation Spatial sky 16325A emission deviations (filled: sky, open: star) Spatial sky continuum emission Spatial sky telluric CO2 absorption deviations (filled: H < 10)
1660052
RedGreenBlue
z19.08
znorm14.83
sky 14.2 13.9 13.7
S/N 15.5 23.7 28.6
S/N(c) 14.1 22.5 27.6
SN(E/C) 0.88
1660053
RedGreenBlue
z19.02
znorm14.77
sky 14.2 14.0 14.0
S/N 14.9 23.1 27.3
S/N(c) 13.4 21.9 26.5
SN(E/C) 0.89
1660054
RedGreenBlue
z19.03
znorm14.78
sky 14.2 14.0 13.9
S/N 15.1 23.3 26.8
S/N(c) 13.4 21.7 26.1
SN(E/C) 0.91
1660055
RedGreenBlue
z19.00
znorm14.75
sky 14.1 14.0 14.0
S/N 14.7 22.9 26.3
S/N(c) 13.4 21.7 25.3
SN(E/C) 0.91
1660056
RedGreenBlue
z19.05
znorm14.80
sky 14.0 14.1 14.0
S/N 15.1 23.7 26.2
S/N(c) 13.9 22.2 25.3
SN(E/C) 0.90
1660057
RedGreenBlue
z18.83
znorm14.58
sky 13.8 13.8 13.7
S/N 12.4 20.4 22.9
S/N(c) 11.3 18.6 22.4
SN(E/C) 0.92
1660058
RedGreenBlue
z19.05
znorm14.80
sky 14.2 14.1 14.0
S/N 14.9 24.0 25.9
S/N(c) 13.7 22.0 25.2
SN(E/C) 0.89