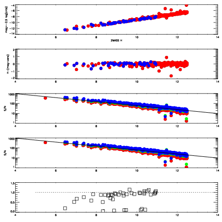
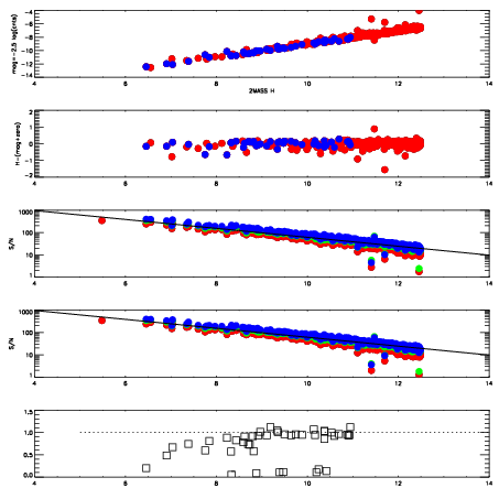
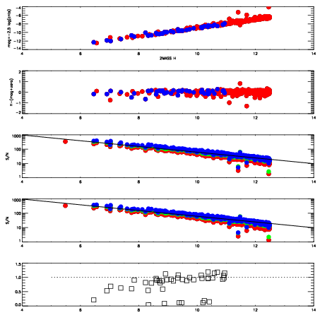
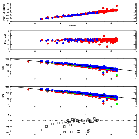
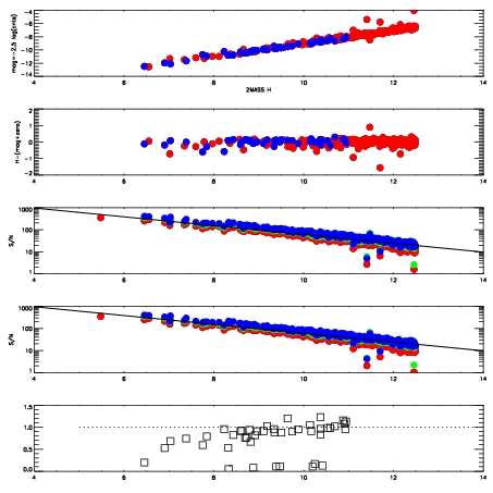
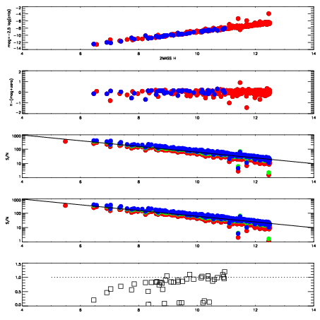
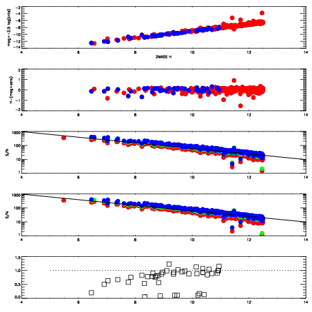
Left plots: red are targets, blue are telluric. Observed mags are calculated from median value of green chip. Zeropoint gives overall throughput: bigger number is more throughput.
First spatial plots: circles are objects, squares are tellurics, crosses are sky fibers. Colors give deviation of observed mag from expected 2MASS mag using the median zeropoint; red is brighter
Second spatial plots: circles are sky fibers. Colors give sky line brightness relative to plate median sky line brightness
FrameNreadsZeropointsMag plots Spatial mag deviation Spatial sky 16325A emission deviations (filled: sky, open: star) Spatial sky continuum emission Spatial sky telluric CO2 absorption deviations (filled: H < 10)
1960041 50
RedGreenBlue
z19.05
znorm14.80
sky 14.4 14.0 13.9
S/N 15.3 23.1 26.9
S/N(c) 13.6 21.9 25.0
SN(E/C) 0.90
1960042 50
RedGreenBlue
z19.06
znorm14.81
sky 14.2 13.9 14.0
S/N 14.9 23.4 26.6
S/N(c) 13.4 21.8 25.4
SN(E/C) 0.89
1960043 50
RedGreenBlue
z19.03
znorm14.78
sky 14.3 14.0 14.0
S/N 14.6 23.2 25.7
S/N(c) 13.0 21.2 24.7
SN(E/C) 0.92
1960044 50
RedGreenBlue
z19.04
znorm14.80
sky 14.3 14.0 14.0
S/N 15.1 23.8 26.0
S/N(c) 13.4 21.6 24.9
SN(E/C) 0.87
1960045 50
RedGreenBlue
z19.03
znorm14.79
sky 14.5 14.1 14.0
S/N 14.9 24.0 25.6
S/N(c) 13.2 21.6 24.7
SN(E/C) 0.84
1960046 50
RedGreenBlue
z19.00
znorm14.75
sky 14.3 14.0 13.9
S/N 14.5 23.2 24.8
S/N(c) 12.6 20.8 23.9
SN(E/C) 0.90
1960047 50
RedGreenBlue
z18.92
znorm14.68
sky 14.1 14.1 14.0
S/N 13.9 22.3 24.1
S/N(c) 12.5 20.0 23.1
SN(E/C) 0.90