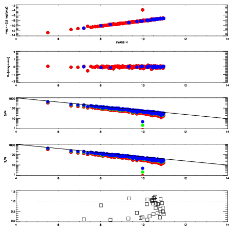
| Frame | Nreads | Zeropoints | Mag plots
| Spatial mag deviation
| Spatial sky 16325A emission deviations (filled: sky, open: star)
| Spatial sky continuum emission
| Spatial sky telluric CO2 absorption deviations (filled: H < 10)
|
| 1700013
| 50
| | Red | Green | Blue
| | z | | 18.49
| | znorm | | 14.24
| | sky | 13.6 | 13.4 | 13.4
| | S/N | 14.4 | 19.5 | 20.1
| | S/N(c) | 12.9 | 17.7 | 18.8
| | SN(E/C) | 0.73
|
|
|
|
|
|
|
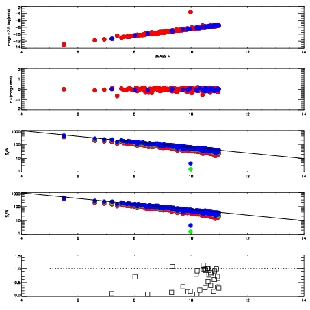
| 1700014
| 50
| | Red | Green | Blue
| | z | | 18.43
| | znorm | | 14.18
| | sky | 13.5 | 13.4 | 13.6
| | S/N | 13.6 | 19.0 | 19.6
| | S/N(c) | 12.4 | 17.3 | 18.4
| | SN(E/C) | 0.66
|
|
|
|
|
|
|
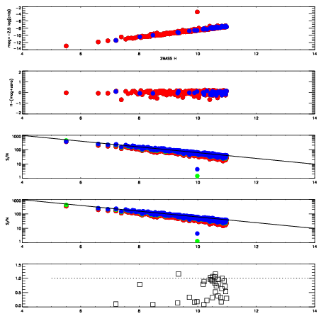
| 1700015
| 50
| | Red | Green | Blue
| | z | | 18.36
| | znorm | | 14.11
| | sky | 13.7 | 13.5 | 13.6
| | S/N | 12.6 | 18.0 | 18.7
| | S/N(c) | 11.5 | 16.5 | 17.5
| | SN(E/C) | 0.74
|
|
|
|
|
|
|
| 1700016
| 50
| | Red | Green | Blue
| | z | | 18.34
| | znorm | | 14.09
| | sky | 13.7 | 13.6 | 13.7
| | S/N | 12.5 | 17.8 | 18.8
| | S/N(c) | 11.3 | 16.4 | 17.4
| | SN(E/C) | 0.76
|
|
|
|
|
|
|
| 1700017
| 50
| | Red | Green | Blue
| | z | | 18.45
| | znorm | | 14.20
| | sky | 13.7 | 13.6 | 13.8
| | S/N | 13.4 | 19.0 | 19.9
| | S/N(c) | 12.2 | 17.7 | 18.7
| | SN(E/C) | 0.72
|
|
|
|
|
|
|
| 1700018
| 50
| | Red | Green | Blue
| | z | | 18.16
| | znorm | | 13.92
| | sky | 13.9 | 13.6 | 13.8
| | S/N | 11.2 | 16.5 | 17.6
| | S/N(c) | 10.0 | 15.0 | 16.3
| | SN(E/C) | 0.79
|
|
|
|
|
|
|
| 1700019
| 50
| | Red | Green | Blue
| | z | | 18.47
| | znorm | | 14.22
| | sky | 13.7 | 13.6 | 13.8
| | S/N | 13.6 | 19.5 | 20.6
| | S/N(c) | 12.3 | 17.8 | 18.9
| | SN(E/C) | 0.65
|
|
|
|
|
|
|
| 1700020
| 50
| | Red | Green | Blue
| | z | | 18.50
| | znorm | | 14.26
| | sky | 13.8 | 13.6 | 13.8
| | S/N | 13.7 | 19.5 | 20.9
| | S/N(c) | 12.3 | 18.0 | 19.4
| | SN(E/C) | 0.76
|
|
|
|
|
|
|