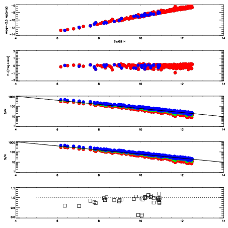
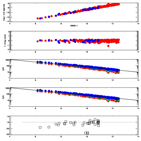
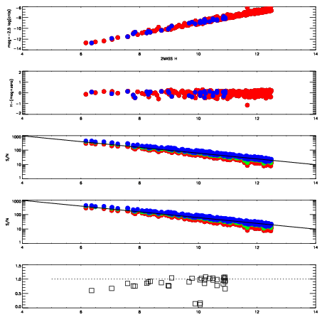
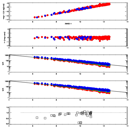
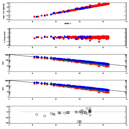
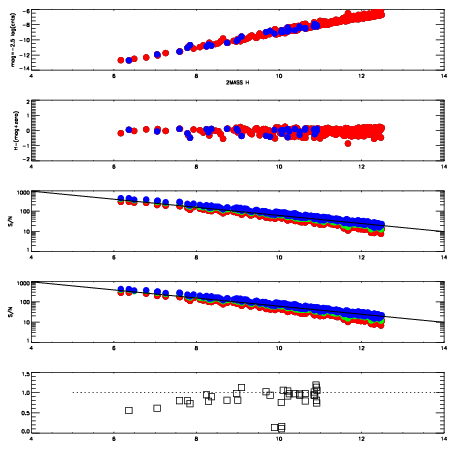
Left plots: red are targets, blue are telluric. Observed mags are calculated from median value of green chip. Zeropoint gives overall throughput: bigger number is more throughput.
First spatial plots: circles are objects, squares are tellurics, crosses are sky fibers. Colors give deviation of observed mag from expected 2MASS mag using the median zeropoint; red is brighter
Second spatial plots: circles are sky fibers. Colors give sky line brightness relative to plate median sky line brightness
FrameNreadsZeropointsMag plots Spatial mag deviation Spatial sky 16325A emission deviations (filled: sky, open: star) Spatial sky continuum emission Spatial sky telluric CO2 absorption deviations (filled: H < 10)
1750012 50
RedGreenBlue
z19.04
znorm14.79
sky 14.0 13.6 13.9
S/N 15.8 24.2 28.9
S/N(c) 14.3 23.0 27.7
SN(E/C) 0.90
1750017 50
RedGreenBlue
z19.00
znorm14.76
sky 14.1 13.9 14.0
S/N 15.6 24.2 26.9
S/N(c) 13.9 22.5 25.6
SN(E/C) 0.90
1750018 50
RedGreenBlue
z19.02
znorm14.77
sky 14.0 13.9 14.0
S/N 15.6 23.8 26.5
S/N(c) 13.9 22.1 25.2
SN(E/C) 0.93
1750019 50
RedGreenBlue
z19.00
znorm14.75
sky 14.2 14.0 14.1
S/N 14.8 23.0 25.8
S/N(c) 13.2 21.3 24.8
SN(E/C) 0.90
1750020 50
RedGreenBlue
z18.88
znorm14.63
sky 14.1 14.0 14.0
S/N 14.0 22.0 23.6
S/N(c) 12.5 20.1 22.6
SN(E/C) 0.93
1750021 50
RedGreenBlue
z18.90
znorm14.65
sky 14.2 14.0 14.1
S/N 14.1 22.0 23.7
S/N(c) 12.4 19.8 22.6
SN(E/C) 0.94