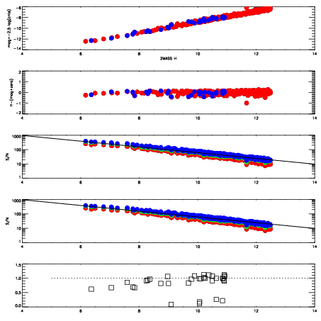
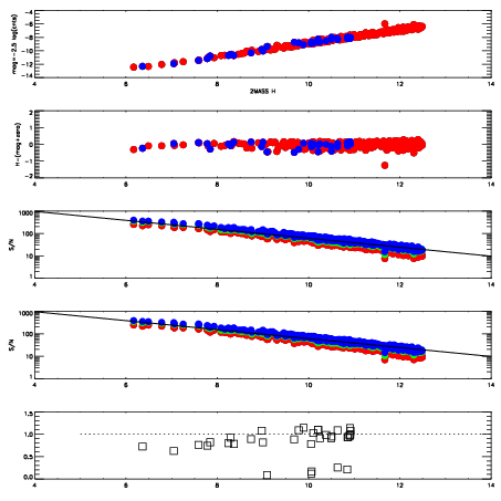
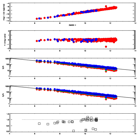
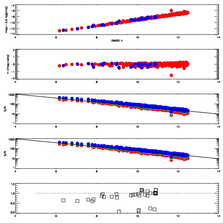
Left plots: red are targets, blue are telluric. Observed mags are calculated from median value of green chip. Zeropoint gives overall throughput: bigger number is more throughput.
First spatial plots: circles are objects, squares are tellurics, crosses are sky fibers. Colors give deviation of observed mag from expected 2MASS mag using the median zeropoint; red is brighter
Second spatial plots: circles are sky fibers. Colors give sky line brightness relative to plate median sky line brightness
FrameNreadsZeropointsMag plots Spatial mag deviation Spatial sky 16325A emission deviations (filled: sky, open: star) Spatial sky continuum emission Spatial sky telluric CO2 absorption deviations (filled: H < 10)
1950037 50
RedGreenBlue
z19.12
znorm14.88
sky 14.4 14.0 13.9
S/N 16.7 25.3 27.6
S/N(c) 14.8 24.2 25.9
SN(E/C) 0.86
1950038 50
RedGreenBlue
z19.14
znorm14.89
sky 14.3 14.3 14.5
S/N 16.5 25.2 28.3
S/N(c) 14.8 23.9 26.2
SN(E/C) 0.91
1950039 50
RedGreenBlue
z19.10
znorm14.85
sky 14.4 14.3 14.4
S/N 16.3 25.0 27.8
S/N(c) 14.5 23.4 25.7
SN(E/C) 0.93
1950040 50
RedGreenBlue
z18.90
znorm14.65
sky 14.4 14.4 14.5
S/N 14.2 22.8 24.6
S/N(c) 12.4 21.1 22.8
SN(E/C) 0.91
1950041 50
RedGreenBlue
z18.85
znorm14.60
sky 14.3 14.4 14.5
S/N 13.6 21.9 23.5
S/N(c) 12.1 20.4 21.7
SN(E/C) 0.93
1950042 50
RedGreenBlue
z19.01
znorm14.76
sky 14.4 14.4 14.4
S/N 15.2 23.6 25.7
S/N(c) 13.2 22.2 23.8
SN(E/C) 0.92
1950043 50
RedGreenBlue
z18.91
znorm14.66
sky 14.3 14.4 14.5
S/N 14.2 22.3 24.5
S/N(c) 12.5 20.7 22.7
SN(E/C) 0.91