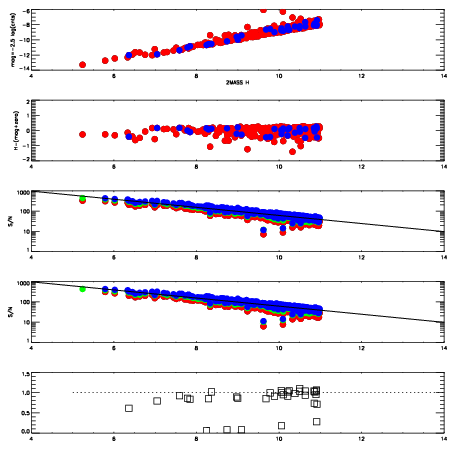
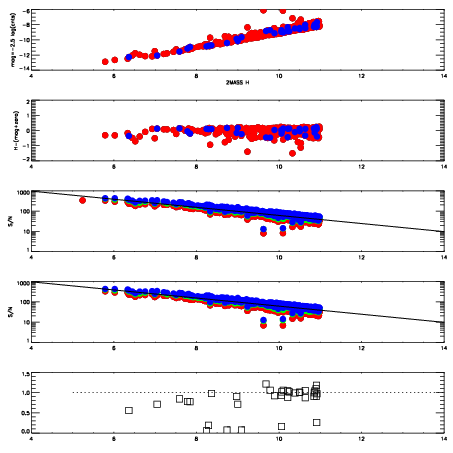
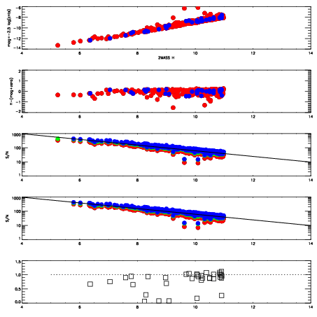
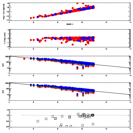
Left plots: red are targets, blue are telluric. Observed mags are calculated from median value of green chip. Zeropoint gives overall throughput: bigger number is more throughput.
First spatial plots: circles are objects, squares are tellurics, crosses are sky fibers. Colors give deviation of observed mag from expected 2MASS mag using the median zeropoint; red is brighter
Second spatial plots: circles are sky fibers. Colors give sky line brightness relative to plate median sky line brightness
FrameNreadsZeropointsMag plots Spatial mag deviation Spatial sky 16325A emission deviations (filled: sky, open: star) Spatial sky continuum emission Spatial sky telluric CO2 absorption deviations (filled: H < 10)
1750028 50
RedGreenBlue
z18.87
znorm14.62
sky 14.1 13.8 13.8
S/N 17.1 24.2 26.8
S/N(c) 15.5 22.9 26.0
SN(E/C) 0.89
1750029 50
RedGreenBlue
z18.99
znorm14.74
sky 14.3 13.8 13.8
S/N 18.3 25.8 28.5
S/N(c) 16.5 24.3 27.4
SN(E/C) 0.92
1750030 50
RedGreenBlue
z19.03
znorm14.78
sky 13.9 13.9 13.9
S/N 18.6 26.4 29.2
S/N(c) 17.2 25.1 28.1
SN(E/C) 0.91
1750031 50
RedGreenBlue
z18.83
znorm14.59
sky 14.1 14.0 14.0
S/N 16.7 23.7 26.4
S/N(c) 15.1 22.5 25.6
SN(E/C) 0.96
1750032 50
RedGreenBlue
z18.78
znorm14.54
sky 13.6 13.3 13.1
S/N 15.7 22.7 25.3
S/N(c) 14.2 21.6 24.5
SN(E/C) 0.92