PLATE: 5093 MJD: 55752 FIELD: M71

FrameCartsec zseeingNreadsDitherPixshiftZerosky continuumS/NS/N(c)
1900095 5 1.03 1.81 50 0.00 0.00 18.73 [14.42,14.20,14.22] [ 12.6, 19.7, 23.7] [ 11.2, 18.4, 22.6]
1900096 5 1.03 2.06 50 0.00 0.00 18.66 [14.58,14.18,14.40] [ 12.2, 18.9, 23.0] [ 10.7, 17.8, 22.0]
1900097 5 1.03 1.79 50 0.00 0.00 18.72 [14.52,14.36,14.56] [ 12.7, 19.8, 23.9] [ 11.4, 18.6, 22.9]
1900098 5 1.03 1.82 50 0.00 0.00 18.80 [14.62,14.33,14.55] [ 13.3, 20.8, 24.6] [ 11.9, 19.5, 23.5]
1900099 5 1.04 1.79 50 0.00 -0.00 18.87 [14.55,14.33,14.40] [ 14.4, 21.8, 25.0] [ 12.7, 20.7, 24.1]
1900100 5 1.04 1.71 50 0.00 0.00 18.90 [14.46,14.42,14.41] [ 14.3, 22.5, 25.4] [ 13.0, 21.0, 24.4]

01900095 0.00000 214.069
01900096 0.00000 207.229
01900097 0.00000 212.992
01900098 0.00000 225.598
01900099 0.00000 240.610
01900100 0.00000 239.142

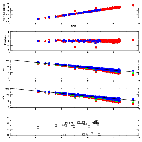
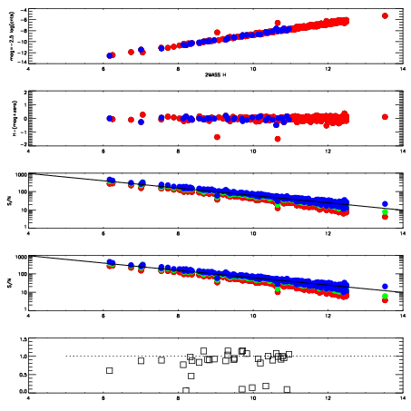
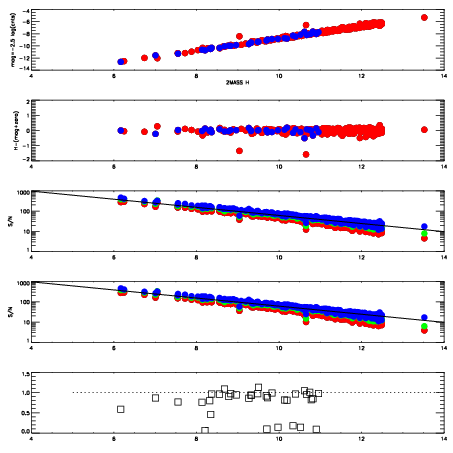
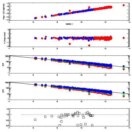
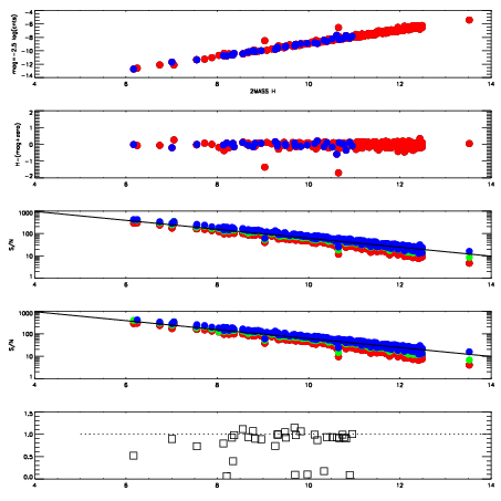
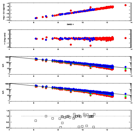
Visit (multiple exposure and dither combined) spectra

FrameZeropointsMag plots Spatial mag deviation Spatial sky 16325A emission deviations (filled: sky, open: star) Spatial sky continuum emission Spatial sky telluric CO2 absorption deviations (filled: H < 10)
1900095
RedGreenBlue
z18.73
znorm14.48
sky 14.4 14.2 14.2
S/N 12.6 19.7 23.7
S/N(c) 11.2 18.4 22.6
SN(E/C) 0.91
1900096
RedGreenBlue
z18.66
znorm14.41
sky 14.6 14.2 14.4
S/N 12.2 18.9 23.0
S/N(c) 10.7 17.8 22.0
SN(E/C) 0.90
1900097
RedGreenBlue
z18.72
znorm14.48
sky 14.5 14.4 14.6
S/N 12.7 19.8 23.9
S/N(c) 11.4 18.6 22.9
SN(E/C) 0.95
1900098
RedGreenBlue
z18.80
znorm14.55
sky 14.6 14.3 14.5
S/N 13.3 20.8 24.6
S/N(c) 11.9 19.5 23.5
SN(E/C) 0.87
1900099
RedGreenBlue
z18.87
znorm14.63
sky 14.6 14.3 14.4
S/N 14.4 21.8 25.0
S/N(c) 12.7 20.7 24.1
SN(E/C) 0.89
1900100
RedGreenBlue
z18.90
znorm14.65
sky 14.5 14.4 14.4
S/N 14.3 22.5 25.4
S/N(c) 13.0 21.0 24.4
SN(E/C) 0.92