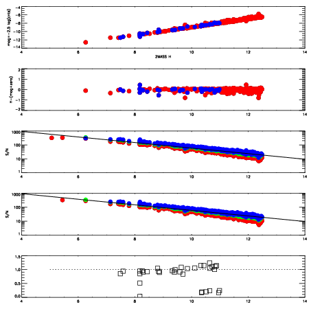
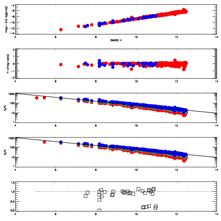
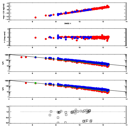
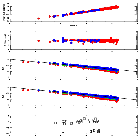
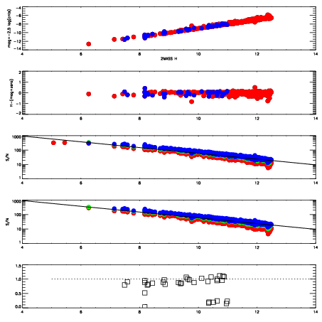
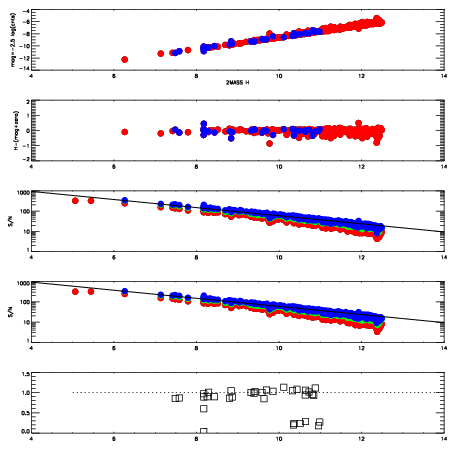
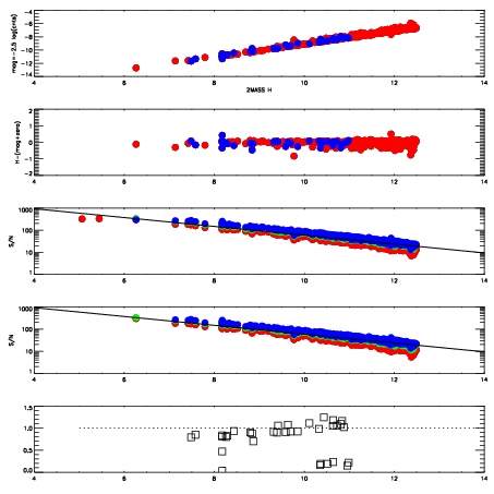
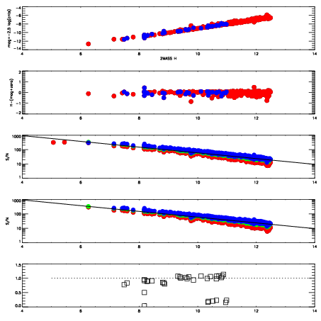
| Frame | Nreads | Zeropoints | Mag plots
| Spatial mag deviation
| Spatial sky 16325A emission deviations (filled: sky, open: star)
| Spatial sky continuum emission
| Spatial sky telluric CO2 absorption deviations (filled: H < 10)
|
| 3120036
| 47
| | Red | Green | Blue
| | z | | 18.95
| | znorm | | 14.77
| | sky | 15.0 | 14.3 | 14.2
| | S/N | 14.3 | 23.0 | 26.3
| | S/N(c) | 12.5 | 21.7 | 25.7
| | SN(E/C) | 0.94
|
|
|
|
|
|
|
| 3120037
| 47
| | Red | Green | Blue
| | z | | 19.02
| | znorm | | 14.84
| | sky | 14.8 | 14.3 | 14.2
| | S/N | 14.8 | 24.0 | 26.7
| | S/N(c) | 13.1 | 22.7 | 26.6
| | SN(E/C) | 0.94
|
|
|
|
|
|
|
| 3120038
| 47
| | Red | Green | Blue
| | z | | 18.94
| | znorm | | 14.76
| | sky | 14.6 | 14.2 | 14.1
| | S/N | 14.2 | 23.2 | 25.9
| | S/N(c) | 12.4 | 21.8 | 25.5
| | SN(E/C) | 0.97
|
|
|
|
|
|
|
| 3120039
| 47
| | Red | Green | Blue
| | z | | 18.71
| | znorm | | 14.53
| | sky | 14.0 | 13.9 | 13.8
| | S/N | 11.6 | 19.7 | 22.1
| | S/N(c) | 10.1 | 18.4 | 21.4
| | SN(E/C) | 0.95
|
|
|
|
|
|
|
| 3120040
| 47
| | Red | Green | Blue
| | z | | 18.59
| | znorm | | 14.41
| | sky | 13.7 | 13.6 | 13.6
| | S/N | 10.3 | 18.0 | 19.9
| | S/N(c) | 9.2 | 16.6 | 19.3
| | SN(E/C) | 0.94
|
|
|
|
|
|
|
| 3120041
| 47
| | Red | Green | Blue
| | z | | 18.81
| | znorm | | 14.63
| | sky | 14.1 | 14.0 | 13.8
| | S/N | 12.3 | 21.1 | 23.5
| | S/N(c) | 11.1 | 19.5 | 23.2
| | SN(E/C) | 0.93
|
|
|
|
|
|
|
| 3120042
| 47
| | Red | Green | Blue
| | z | | 19.08
| | znorm | | 14.90
| | sky | 14.6 | 14.4 | 14.1
| | S/N | 15.3 | 25.1 | 26.9
| | S/N(c) | 13.4 | 23.5 | 26.4
| | SN(E/C) | 0.90
|
|
|
|
|
|
|
| 3120043
| 47
| | Red | Green | Blue
| | z | | 19.01
| | znorm | | 14.83
| | sky | 14.5 | 14.3 | 14.0
| | S/N | 14.4 | 23.8 | 26.1
| | S/N(c) | 12.6 | 22.2 | 25.5
| | SN(E/C) | 0.88
|
|
|
|
|
|
|