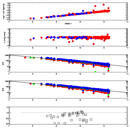
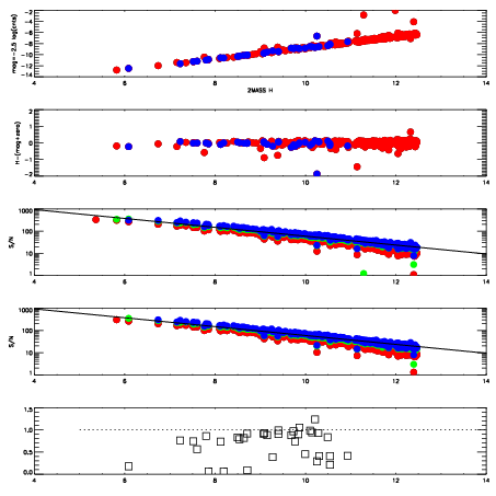
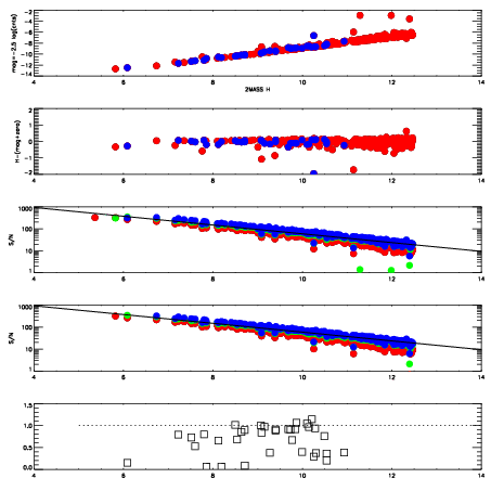
| Frame | Nreads | Zeropoints | Mag plots
| Spatial mag deviation
| Spatial sky 16325A emission deviations (filled: sky, open: star)
| Spatial sky continuum emission
| Spatial sky telluric CO2 absorption deviations (filled: H < 10)
|
| 2590037
| 47
| | Red | Green | Blue
| | z | | 18.77
| | znorm | | 14.59
| | sky | 15.1 | 14.7 | 14.2
| | S/N | 12.1 | 20.7 | 21.6
| | S/N(c) | 10.1 | 18.7 | 20.5
| | SN(E/C) | 0.82
|
|
|
|
|
|
|
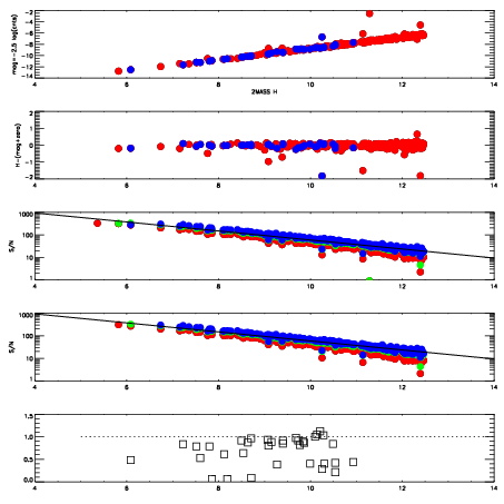
| 2590038
| 47
| | Red | Green | Blue
| | z | | 18.93
| | znorm | | 14.75
| | sky | 14.7 | 14.5 | 14.2
| | S/N | 13.1 | 22.6 | 24.2
| | S/N(c) | 11.4 | 20.5 | 22.6
| | SN(E/C) | 0.77
|
|
|
|
|
|
|
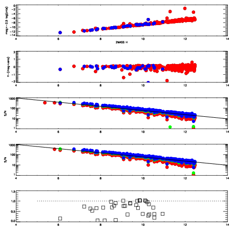
| 2590039
| 47
| | Red | Green | Blue
| | z | | 18.94
| | znorm | | 14.76
| | sky | 14.7 | 14.6 | 14.3
| | S/N | 13.6 | 23.0 | 24.1
| | S/N(c) | 11.3 | 20.1 | 22.7
| | SN(E/C) | 0.74
|
|
|
|
|
|
|
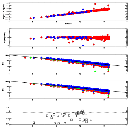
| 2590040
| 47
| | Red | Green | Blue
| | z | | 18.77
| | znorm | | 14.59
| | sky | 14.4 | 14.6 | 14.4
| | S/N | 11.6 | 20.4 | 21.8
| | S/N(c) | 10.0 | 18.6 | 20.3
| | SN(E/C) | 0.82
|
|
|
|
|
|
|
| 2590041
| 47
| | Red | Green | Blue
| | z | | 18.81
| | znorm | | 14.63
| | sky | 14.7 | 14.6 | 14.3
| | S/N | 12.4 | 21.7 | 22.2
| | S/N(c) | 10.3 | 18.8 | 20.7
| | SN(E/C) | 0.79
|
|
|
|
|
|
|
| 2590042
| 47
| | Red | Green | Blue
| | z | | 18.82
| | znorm | | 14.64
| | sky | 14.9 | 14.8 | 14.5
| | S/N | 12.3 | 21.7 | 22.2
| | S/N(c) | 10.3 | 18.8 | 20.8
| | SN(E/C) | 0.76
|
|
|
|
|
|
|
| 2590043
| 47
| | Red | Green | Blue
| | z | | 18.83
| | znorm | | 14.65
| | sky | 14.7 | 14.7 | 14.5
| | S/N | 12.6 | 21.9 | 22.7
| | S/N(c) | 10.6 | 19.1 | 21.6
| | SN(E/C) | 0.79
|
|
|
|
|
|
|
| 2590044
| 47
| | Red | Green | Blue
| | z | | 18.89
| | znorm | | 14.71
| | sky | 15.1 | 14.9 | 14.5
| | S/N | 13.2 | 22.8 | 23.4
| | S/N(c) | 10.9 | 19.9 | 22.2
| | SN(E/C) | 0.69
|
|
|
|
|
|
|