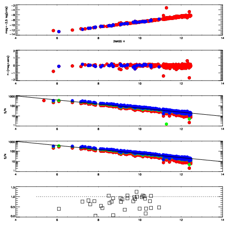
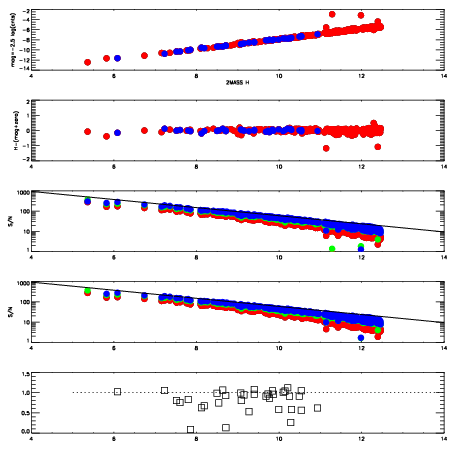
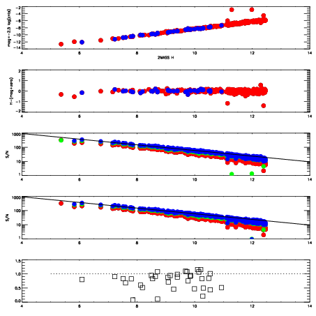
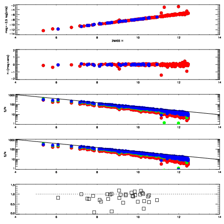
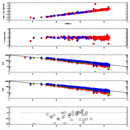
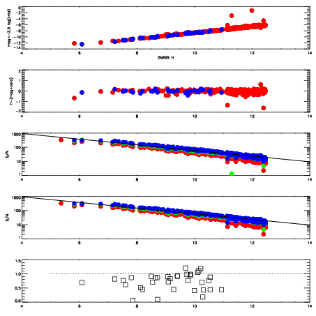
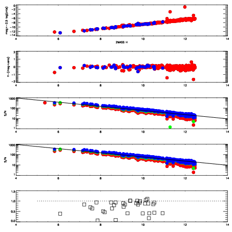
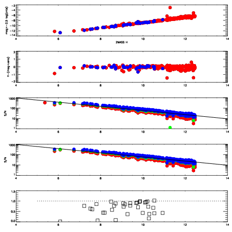
| Frame | Nreads | Zeropoints | Mag plots
| Spatial mag deviation
| Spatial sky 16325A emission deviations (filled: sky, open: star)
| Spatial sky continuum emission
| Spatial sky telluric CO2 absorption deviations (filled: H < 10)
|
| 2820046
| 47
| | Red | Green | Blue
| | z | | 18.86
| | znorm | | 14.68
| | sky | 14.7 | 14.3 | 14.1
| | S/N | 12.8 | 21.7 | 23.3
| | S/N(c) | 11.1 | 19.8 | 21.9
| | SN(E/C) | 0.80
|
|
|
|
|
|
|
| 2820047
| 47
| | Red | Green | Blue
| | z | | 18.91
| | znorm | | 14.73
| | sky | 14.5 | 14.3 | 14.2
| | S/N | 13.2 | 22.1 | 24.0
| | S/N(c) | 11.4 | 19.7 | 22.9
| | SN(E/C) | 0.73
|
|
|
|
|
|
|
| 2820048
| 47
| | Red | Green | Blue
| | z | | 18.76
| | znorm | | 14.58
| | sky | 14.6 | 14.4 | 14.3
| | S/N | 11.7 | 20.3 | 22.4
| | S/N(c) | 10.0 | 18.5 | 21.1
| | SN(E/C) | 0.83
|
|
|
|
|
|
|
| 2820049
| 47
| | Red | Green | Blue
| | z | | 18.79
| | znorm | | 14.61
| | sky | 14.4 | 14.4 | 14.4
| | S/N | 12.0 | 20.4 | 22.4
| | S/N(c) | 10.4 | 18.9 | 21.3
| | SN(E/C) | 0.78
|
|
|
|
|
|
|
| 2820050
| 47
| | Red | Green | Blue
| | z | | 18.64
| | znorm | | 14.46
| | sky | 14.5 | 14.5 | 14.4
| | S/N | 10.7 | 19.0 | 20.8
| | S/N(c) | 9.3 | 17.3 | 19.6
| | SN(E/C) | 0.76
|
|
|
|
|
|
|
| 2820051
| 47
| | Red | Green | Blue
| | z | | 18.31
| | znorm | | 14.13
| | sky | 14.7 | 14.6 | 14.6
| | S/N | 8.6 | 15.7 | 17.4
| | S/N(c) | 7.4 | 14.5 | 16.1
| | SN(E/C) | 0.83
|
|
|
|
|
|
|
| 2820052
| 47
| | Red | Green | Blue
| | z | | 17.85
| | znorm | | 13.67
| | sky | 15.0 | 14.7 | 14.8
| | S/N | 6.3 | 11.9 | 12.2
| | S/N(c) | 5.2 | 10.6 | 11.5
| | SN(E/C) | 0.90
|
|
|
|
|
|
|
| 2820053
| 47
| | Red | Green | Blue
| | z | | 17.86
| | znorm | | 13.68
| | sky | 15.1 | 14.7 | 14.8
| | S/N | 6.2 | 11.8 | 12.8
| | S/N(c) | 5.1 | 10.7 | 12.0
| | SN(E/C) | 0.91
|
|
|
|
|
|
|