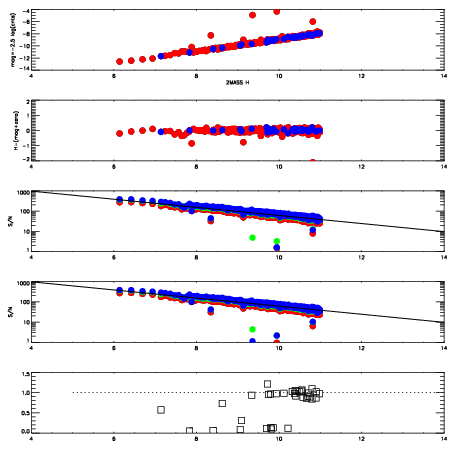
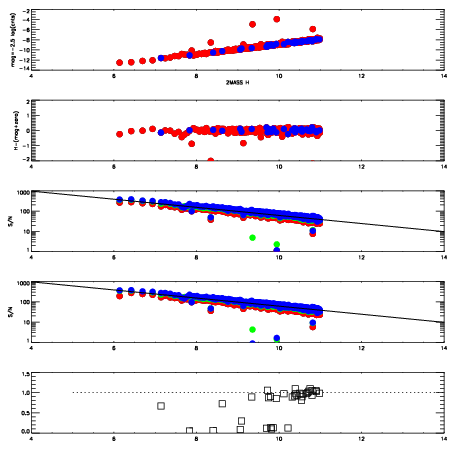
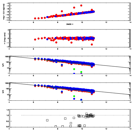
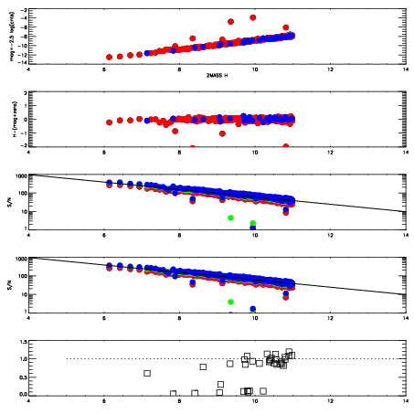
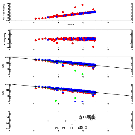
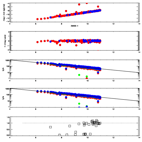
Left plots: red are targets, blue are telluric. Observed mags are calculated from median value of green chip. Zeropoint gives overall throughput: bigger number is more throughput.
First spatial plots: circles are objects, squares are tellurics, crosses are sky fibers. Colors give deviation of observed mag from expected 2MASS mag using the median zeropoint; red is brighter
Second spatial plots: circles are sky fibers. Colors give sky line brightness relative to plate median sky line brightness
FrameNreadsZeropointsMag plots Spatial mag deviation Spatial sky 16325A emission deviations (filled: sky, open: star) Spatial sky continuum emission Spatial sky telluric CO2 absorption deviations (filled: H < 10)
1960021 50
RedGreenBlue
z18.93
znorm14.69
sky 13.5 13.3 13.2
S/N 17.4 23.7 25.9
S/N(c) 16.2 22.7 24.9
SN(E/C) 0.91
1960022 50
RedGreenBlue
z18.93
znorm14.69
sky 13.4 13.3 13.3
S/N 17.4 23.8 26.1
S/N(c) 16.1 22.7 25.1
SN(E/C) 0.93
1960023 50
RedGreenBlue
z18.84
znorm14.59
sky 13.5 13.2 13.3
S/N 16.6 22.7 24.8
S/N(c) 15.1 21.4 24.0
SN(E/C) 0.90
1960024 50
RedGreenBlue
z18.86
znorm14.62
sky 13.5 13.3 13.3
S/N 16.7 23.0 24.7
S/N(c) 15.3 22.0 23.8
SN(E/C) 0.94
1960025 50
RedGreenBlue
z18.88
znorm14.63
sky 13.5 13.4 13.4
S/N 16.7 23.1 25.0
S/N(c) 15.6 21.8 24.2
SN(E/C) 0.90
1960026 50
RedGreenBlue
z18.86
znorm14.61
sky 13.5 13.4 13.4
S/N 16.6 23.3 24.9
S/N(c) 15.3 22.2 23.9
SN(E/C) 0.87
1960027 50
RedGreenBlue
z18.91
znorm14.66
sky 13.4 13.5 13.4
S/N 17.0 24.0 25.3
S/N(c) 15.8 22.7 24.4
SN(E/C) 0.91